
Artur Kowalski
Publikacje autora


Co to jest lambda w fizyce? Zrozumienie długości fali i zastosowań
Zrozum, co to jest lambda w fizyce. Dowiedz się, jak długość fali wpływa na fale elektromagnetyczne i inne zastosowania w nauce.

Co oznacza ten znak w matematyce? Odkryj jego znaczenie i zastosowanie
Zrozumienie, co oznacza ten znak w matematyce, jest kluczowe dla skutecznych obliczeń. Sprawdź znaczenie symboli i ich zastosowanie w praktyce!

Co to jest wartość bezwzględna w matematyce? Zrozum to łatwo!
Poznaj, co to jest wartość bezwzględna w matematyce. Zrozum jej definicję, właściwości oraz zastosowania w codziennym życiu i analizie danych.

Ile trwa matura z fizyki? Sprawdź, co musisz wiedzieć o egzaminie
Ile trwa matura z fizyki? Dowiedz się, jak długo trwa egzamin oraz jakie pytania czekają na Ciebie, aby skutecznie się przygotować.

Co jeśli nie zdam matury? Sprawdź swoje możliwości i opcje poprawki
Co jeśli nie zdam matury? Poznaj swoje opcje, w tym poprawki i alternatywne ścieżki edukacyjne, aby kontynuować naukę i osiągnąć sukces.

Ile procent z matury na psychologię? Sprawdź wymagania rekrutacyjne
Sprawdź, ile procent z matury na psychologię jest wymagane, aby dostać się na studia. Zobacz, jakie kryteria rekrutacyjne obowiązują na uczelniach.

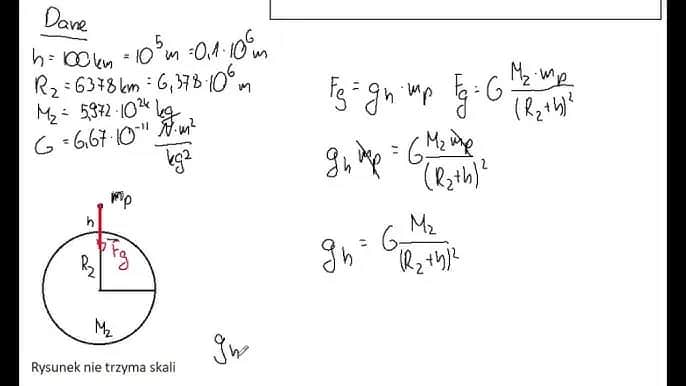
Ile wynosi g w fizyce? Kluczowe informacje o przyspieszeniu ziemskim
Ile wynosi g w fizyce? Dowiedz się, jak przyspieszenie ziemskie wpływa na ruch obiektów i jakie ma znaczenie w codziennych obliczeniach.

Czym jest światło w fizyce? Odkryj jego fascynujące właściwości
Poznaj, czym jest światło w fizyce, jego właściwości oraz znaczenie dla naszego postrzegania kolorów i technologii. Zrozum fascynujący świat światła!

Co po fizyce? Odkryj najlepsze ścieżki kariery i zarobki
Poznaj możliwości zawodowe po studiach z fizyki. Sprawdź, jakie ścieżki kariery i zarobki czekają na absolwentów fizyki w różnych sektorach.