
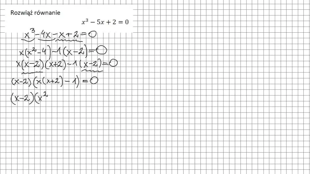
Jak rozwiązać równanie wielomianowe - proste metody i przykłady
Rozwiąż równanie wielomianowe łatwo i szybko! Poznaj proste metody, przykłady oraz techniki, które pomogą Ci znaleźć pierwiastki wielomianów.

Rozwiąż równanie wielomianowe łatwo i szybko! Poznaj proste metody, przykłady oraz techniki, które pomogą Ci znaleźć pierwiastki wielomianów.

Naucz się logarytmów skutecznie i unikaj trudności w matematyce. Odkryj najlepsze techniki i materiały, które ułatwią Ci zrozumienie logarytmów.

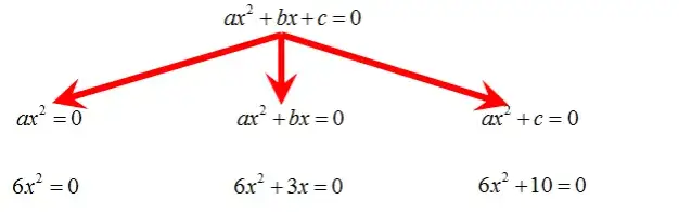
Rozwiąż równanie kwadratowe jak rozwiązać dzięki prostym metodom i przykładom. Poznaj różne techniki i zastosowania w praktyce!

Znajdź idealną zabawkę z Króla Lwa dla swojego dziecka! Oferujemy szeroki wybór zabawek, które rozbudzą wyobraźnię i radość. Wybierz już dziś!

Zastanawiasz się, jak uszyć matę edukacyjną? Poznaj proste kroki i materiały, które ułatwią Ci to zadanie!

Rozwiązywanie równań jak to się robi? Poznaj proste metody i przykłady, które pomogą Ci skutecznie rozwiązywać równania w matematyce.

Naucz się, jak rozwiązywać równania kwadratowe za pomocą prostych metod i przykładów. Zdobądź pewność siebie w matematyce i osiągnij sukces!

Zobacz, jak powstaje cukier w fascynującym filmie edukacyjnym dla dzieci! Zaskakujące fakty i ciekawostki, które rozbudzą wyobraźnię maluchów.

Zrozum, dla jakich wartości parametru m równanie ma rozwiązania. Sprawdź, jak dyskryminant wpływa na charakterystykę równań kwadratowych.

Jak to działa gra edukacyjna? Dowiedz się, jak wspiera naukę dzieci poprzez zabawę, rozwijając ich umiejętności i kreatywność.