
Rozwiąż układ równań z dwiema niewiadomymi dzięki prostym metodom i praktycznym przykładom. Dowiedz się, jak skutecznie rozwiązać układ równań.
Jako specjalista od mody i stylizacji męskiej, podpowiadam na blogu jak dobierać stroje, dodatki i perfumy, by czuć się pewnie i atrakcyjnie. Doradzam w kreowaniu wizerunku.

Rozwiąż układ równań z dwiema niewiadomymi dzięki prostym metodom i praktycznym przykładom. Dowiedz się, jak skutecznie rozwiązać układ równań.

Ile kosztuje matura? Sprawdź szczegółowe informacje o opłatach za egzaminy i poprawki, aby uniknąć nieprzyjemnych niespodzianek.

Sprawdź, jaki poziom angielskiego jest na maturze. Poznaj różnice między B1 a B2 oraz wymagania dla uczniów przystępujących do egzaminu.

Zrozum, co oznacza "zależna w matematyce krzyżówka" i jak zmienne wpływają na funkcje matematyczne. Sprawdź odpowiedzi i definicje!

Poznaj, co to jest statystyka w matematyce, jej kluczowe pojęcia oraz praktyczne zastosowania w różnych dziedzinach, takich jak zdrowie i marketing.

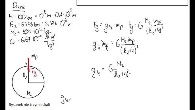
Ile wynosi g w fizyce? Dowiedz się, jak przyspieszenie ziemskie wpływa na ruch obiektów i jakie ma znaczenie w codziennych obliczeniach.

Na maturze z fizyki ważne jest, aby wiedzieć, jakie materiały można mieć. Sprawdź kluczowe przybory, które pomogą Ci zdać egzamin!

Czy trzeba zdać rozszerzenie na maturze 2025? Sprawdź, jakie są wymagania, konsekwencje oraz jak wyniki mogą wpłynąć na Twoją przyszłość edukacyjną.

Czy matura podstawowa liczy się na studia? Sprawdź, jakie ma znaczenie w rekrutacji i jakie wymagania stawiają uczelnie wyższe.

Sprawdź, jakie dokumenty są potrzebne do rekrutacji w Cosinus. Przygotuj się na studia i uniknij stresu związane z aplikacją!