
Poznaj, co to jest delta w matematyce i jak wpływa na rozwiązania równań. Zrozum jej znaczenie w różnych dziedzinach matematyki i nauk przyrodniczych.
Jako specjalista od mody i stylizacji męskiej, podpowiadam na blogu jak dobierać stroje, dodatki i perfumy, by czuć się pewnie i atrakcyjnie. Doradzam w kreowaniu wizerunku.

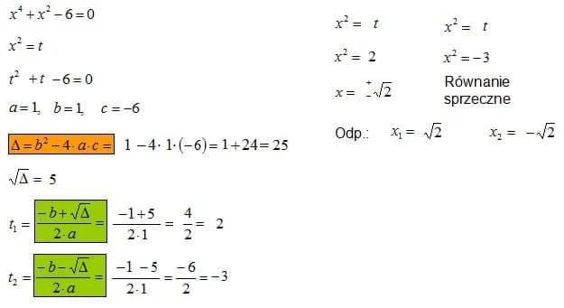
Poznaj, co to jest delta w matematyce i jak wpływa na rozwiązania równań. Zrozum jej znaczenie w różnych dziedzinach matematyki i nauk przyrodniczych.

Rozwiąż równanie i sprawdź, czy otrzymana liczba spełnia to równanie. Dowiedz się, jak skutecznie weryfikować rozwiązania równań matematycznych.

Naucz się, jak obliczyć logarytm naturalny za pomocą prostych metod i narzędzi, które ułatwią Ci wykonywanie obliczeń matematycznych.

Naucz się, jak się rozwiązuje równania kwadratowe za pomocą prostych metod i przykładów, które pomogą Ci zrozumieć ten kluczowy temat matematyczny.

Co jeśli nie zdam matury? Poznaj swoje opcje, w tym poprawki i alternatywne ścieżki edukacyjne, aby kontynuować naukę i osiągnąć sukces.

Sprawdź, ile punktów trzeba zdobyć na maturze z języka polskiego. Poznaj kluczowe progi zdawalności i przygotuj się do egzaminu!

Poznaj definicję granicy ciągu i funkcji. Odkryj metody obliczeń, twierdzenia i przykłady. Zrozum analizę matematyczną!

Opanuj proporcje w matematyce! Poznaj definicje, metody (na krzyż), przykłady z życia i uniknij błędów. Odkryj praktyczne zastosowania.

Poznaj, czym zajmuje się fizyka w klasie 7. Zgłębiaj kluczowe tematy i eksperymenty, które rozwijają umiejętności analityczne i logiczne myślenie.

Elektrostatyka to dział fizyki, który zajmuje się zjawiskami elektrycznymi, od oddziaływań ładunków po praktyczne zastosowania w codziennym życiu.