
Naucz się, jak się liczy logarytmy krok po kroku. Odkryj proste metody i przykłady obliczeń, które ułatwią zrozumienie tego tematu.
Jako specjalista od mody i stylizacji męskiej, podpowiadam na blogu jak dobierać stroje, dodatki i perfumy, by czuć się pewnie i atrakcyjnie. Doradzam w kreowaniu wizerunku.

Naucz się, jak się liczy logarytmy krok po kroku. Odkryj proste metody i przykłady obliczeń, które ułatwią zrozumienie tego tematu.

Ćwiczenia dla dzieci z trudnościami w matematyce, które rozwijają umiejętności, angażują i ułatwiają naukę poprzez zabawę i interaktywne metody.

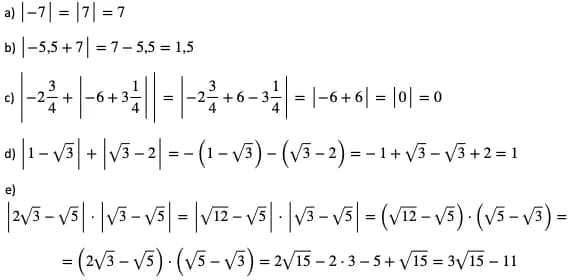
Zrozum moduł w matematyce, jego definicję oraz zastosowania, w tym wartość bezwzględną i role w algebrze oraz analizie zespolonej.

Zrozum, czym są promile w matematyce, jak je obliczać i jakie mają zastosowanie w różnych dziedzinach, takich jak medycyna i finanse.

To żadna nowość, że dawno przyjęte standardy edukacyjne ograniczają kreatywne myślenie, sprowadzają kolejne pokolenia do odtwórczych ról, nie generują nowych społecznych liderów i gaszą wszelkie przejawy innowacyjnego podejścia

Naucz się, jak skutecznie rozwiązywać wyrażenia algebraiczne. Odkryj proste metody i przykłady, które ułatwią Ci obliczenia i zrozumienie matematyki.

Sprawdź, czy równanie jest tożsamościowe, używając prostych metod i przykładów. Poznaj techniki weryfikacji, które ułatwią analizę równań.

Zrozum, co oznacza r w matematyce, jego zastosowania w geometrii i znaczenie w kontekście liczb rzeczywistych. Poznaj kluczowe informacje!

Wskaż równania, których rozwiązaniem jest liczba 0. Poznaj kluczowe przykłady i metody ich rozwiązywania w matematyce.

Poznaj liczby, których wartość bezwzględna jest równa 4. Dowiedz się, jakie liczby spełniają ten warunek i jakie mają znaczenie w matematyce.