Co to jest delta w matematyce i jak wpływa na rozwiązania równań?
Poznaj, co to jest delta w matematyce i jak wpływa na rozwiązania równań. Zrozum jej znaczenie w różnych dziedzinach matematyki i nauk przyrodniczych.
Poznaj, co to jest delta w matematyce i jak wpływa na rozwiązania równań. Zrozum jej znaczenie w różnych dziedzinach matematyki i nauk przyrodniczych.
Rozwiąż równanie i sprawdź, czy otrzymana liczba spełnia to równanie. Dowiedz się, jak skutecznie weryfikować rozwiązania równań matematycznych.
Naucz się, jak obliczyć logarytm naturalny za pomocą prostych metod i narzędzi, które ułatwią Ci wykonywanie obliczeń matematycznych.
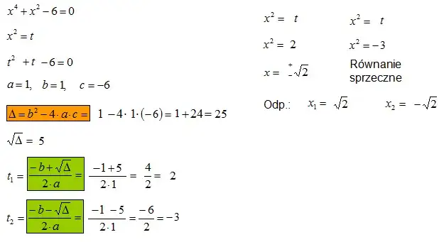
Naucz się, jak się rozwiązuje równania kwadratowe za pomocą prostych metod i przykładów, które pomogą Ci zrozumieć ten kluczowy temat matematyczny.
Co jeśli nie zdam matury? Poznaj swoje opcje, w tym poprawki i alternatywne ścieżki edukacyjne, aby kontynuować naukę i osiągnąć sukces.
Sprawdź, ile punktów trzeba zdobyć na maturze z języka polskiego. Poznaj kluczowe progi zdawalności i przygotuj się do egzaminu!
Poznaj definicję granicy ciągu i funkcji. Odkryj metody obliczeń, twierdzenia i przykłady. Zrozum analizę matematyczną!
Opanuj proporcje w matematyce! Poznaj definicje, metody (na krzyż), przykłady z życia i uniknij błędów. Odkryj praktyczne zastosowania.
Poznaj, czym zajmuje się fizyka w klasie 7. Zgłębiaj kluczowe tematy i eksperymenty, które rozwijają umiejętności analityczne i logiczne myślenie.
Elektrostatyka to dział fizyki, który zajmuje się zjawiskami elektrycznymi, od oddziaływań ładunków po praktyczne zastosowania w codziennym życiu.
Zdobądź pewność siebie i naucz się, jak zdać maturę z matematyki na poziomie rozszerzonym. Odkryj skuteczne techniki nauki i relaksacji przed egzaminem.
Skuteczne strategie, jak strzelać na maturze z angielskiego, aby uniknąć błędów i osiągnąć wysoki wynik. Sprawdź nasze praktyczne porady!
Sprawdź, ile procent z matury na psychologię jest wymagane, aby dostać się na studia. Zobacz, jakie kryteria rekrutacyjne obowiązują na uczelniach.
Czy wiesz, jaki certyfikat zwalnia z matury z angielskiego? Sprawdź, jakie możliwości masz, aby uniknąć tego egzaminu w Polsce!
Opanuj rozwiązywanie równań kwadratowych! Poznaj wzory, deltę i przykłady krok po kroku. Odkryj nasz kompletny przewodnik.
Naucz się obliczać skalę w matematyce! Poznaj rodzaje, przykłady i kluczowe przeliczenia jednostek. Odkryj, jak czytać mapy i plany.
Poznaj, co oznacza tg w fizyce i jak ta funkcja trygonometryczna wpływa na codzienne zjawiska, takie jak ruch, siły i konstrukcje inżynieryjne.
Ile dni zostało do matury? Sprawdź, jak zaplanować naukę i nie przegap ważnych terminów. Przygotuj się na sukces na egzaminie!
Rozwiąż układ równań z dwiema niewiadomymi dzięki prostym metodom i praktycznym przykładom. Dowiedz się, jak skutecznie rozwiązać układ równań.
Ile kosztuje matura? Sprawdź szczegółowe informacje o opłatach za egzaminy i poprawki, aby uniknąć nieprzyjemnych niespodzianek.
Sprawdź, jaki poziom angielskiego jest na maturze. Poznaj różnice między B1 a B2 oraz wymagania dla uczniów przystępujących do egzaminu.
Zrozum, co oznacza "zależna w matematyce krzyżówka" i jak zmienne wpływają na funkcje matematyczne. Sprawdź odpowiedzi i definicje!
Poznaj, co to jest statystyka w matematyce, jej kluczowe pojęcia oraz praktyczne zastosowania w różnych dziedzinach, takich jak zdrowie i marketing.
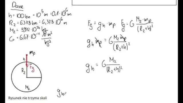
Ile wynosi g w fizyce? Dowiedz się, jak przyspieszenie ziemskie wpływa na ruch obiektów i jakie ma znaczenie w codziennych obliczeniach.
Na maturze z fizyki ważne jest, aby wiedzieć, jakie materiały można mieć. Sprawdź kluczowe przybory, które pomogą Ci zdać egzamin!
Czy trzeba zdać rozszerzenie na maturze 2025? Sprawdź, jakie są wymagania, konsekwencje oraz jak wyniki mogą wpłynąć na Twoją przyszłość edukacyjną.
Czy matura podstawowa liczy się na studia? Sprawdź, jakie ma znaczenie w rekrutacji i jakie wymagania stawiają uczelnie wyższe.