Co to jest symetria w matematyce? Zrozum jej znaczenie i rodzaje
Poznaj, co to jest symetria w matematyce, jej znaczenie oraz różne rodzaje. Zrozum, jak symetria wpływa na geometrię i algebrę w praktyce.
Poznaj, co to jest symetria w matematyce, jej znaczenie oraz różne rodzaje. Zrozum, jak symetria wpływa na geometrię i algebrę w praktyce.
Zrozumienie znaku mniejszości w matematyce to klucz do efektywnego porównywania liczb. Sprawdź jego zastosowania i przykłady w praktyce.
Naucz się, jak obliczyć równanie krok po kroku. Odkryj proste metody rozwiązywania równań liniowych i kwadratowych oraz unikaj typowych błędów.
Poznaj, czym jest suma w matematyce. Odkryj proste definicje, zasady dodawania oraz praktyczne przykłady, które ułatwią zrozumienie tego kluczowego pojęcia.
Naucz się, jak się liczy logarytmy krok po kroku. Odkryj proste metody i przykłady obliczeń, które ułatwią zrozumienie tego tematu.
Ćwiczenia dla dzieci z trudnościami w matematyce, które rozwijają umiejętności, angażują i ułatwiają naukę poprzez zabawę i interaktywne metody.
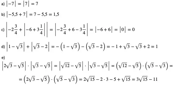
Zrozum moduł w matematyce, jego definicję oraz zastosowania, w tym wartość bezwzględną i role w algebrze oraz analizie zespolonej.
Zrozum, czym są promile w matematyce, jak je obliczać i jakie mają zastosowanie w różnych dziedzinach, takich jak medycyna i finanse.
To żadna nowość, że dawno przyjęte standardy edukacyjne ograniczają kreatywne myślenie, sprowadzają kolejne pokolenia do odtwórczych ról, nie generują nowych społecznych liderów i gaszą wszelkie przejawy innowacyjnego podejścia
Naucz się, jak skutecznie rozwiązywać wyrażenia algebraiczne. Odkryj proste metody i przykłady, które ułatwią Ci obliczenia i zrozumienie matematyki.
Sprawdź, czy równanie jest tożsamościowe, używając prostych metod i przykładów. Poznaj techniki weryfikacji, które ułatwią analizę równań.
Zrozum, co oznacza r w matematyce, jego zastosowania w geometrii i znaczenie w kontekście liczb rzeczywistych. Poznaj kluczowe informacje!
Wskaż równania, których rozwiązaniem jest liczba 0. Poznaj kluczowe przykłady i metody ich rozwiązywania w matematyce.
Poznaj liczby, których wartość bezwzględna jest równa 4. Dowiedz się, jakie liczby spełniają ten warunek i jakie mają znaczenie w matematyce.
Zrozumienie dowodzenia w matematyce jest kluczowe dla każdego ucznia. Poznaj metody i przykłady, które pomogą Ci w nauce i praktyce matematycznej.
Zrozum, jak używać znaku większości w matematyce. Poznaj jego znaczenie, zastosowania oraz praktyczne przykłady, które ułatwią naukę.
Zrozum, jak symbol sigma w matematyce ułatwia obliczenia i analizę danych. Poznaj jego definicję oraz praktyczne zastosowania w różnych dziedzinach.
Oblicz pole trójkąta znając jego boki dzięki wzorowi Herona. Prosta metoda, która umożliwia szybkie i dokładne obliczenia bez znajomości wysokości.
Zrozum, co oznacza w matematyce, odkrywając znaczenie symboli i notacji. Poznaj ich zastosowanie w różnych kontekstach i ułatw sobie naukę!
Poznaj kluczowe pojęcia rozwinięta w matematyce, takie jak ewoluta i interpolacja. Zrozum ich znaczenie i zastosowanie w różnych dziedzinach.
Naucz się, jak wyznaczyć równanie okręgu za pomocą prostych metod i przykładów krok po kroku. Zdobądź praktyczne umiejętności w geometrii analitycznej!
Poznaj, jak ograniczenie mediów społecznościowych poprawia samopoczucie. Praktyczne strategie dla ludzi uzależnionych od ekranu.
Rok szkolny 2025/2026 zbliża się wielkimi krokami, a to oznacza, że czas pomyśleć o wyposażeniu szkolnego plecaka. Dla wielu uczniów przygotowanie się do nowego roku szkolnego to nie tylko zakup podręczników, ale także znalezienie odpowiednich akcesoriów i przyborów, które ułatwią naukę oraz codzienne obowiązki.
Wraz z początkiem roku szkolnego wiele osób staje przed wyzwaniem skompletowania wyprawki dla swoich dzieci. Artykuły szkolne to nie tylko zeszyty i długopisy – w rzeczywistości istnieje wiele innych produktów, które mogą znacznie ułatwić naukę i podnieść komfort ucznia. W tym artykule przyjrzymy się, co jeszcze warto mieć w swojej szkolnej torbie, aby przygotować się na nowy rok szkolny.
Recykling tekstyliów to klucz do ochrony środowiska. Sprawdź sprawdzone sposoby na wykorzystanie starych ubrań i zmniejszenie odpadów.