
Fizyka
Ile wynosi g w fizyce? Kluczowe informacje o przyspieszeniu ziemskim
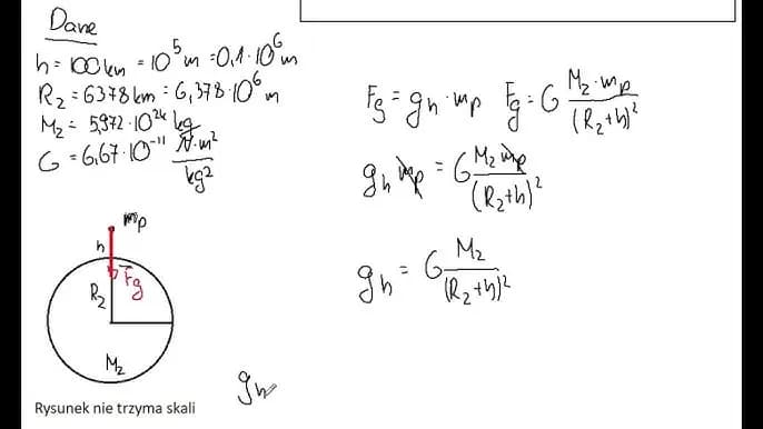
Ile wynosi g w fizyce? Dowiedz się, jak przyspieszenie ziemskie wpływa na ruch obiektów i jakie ma znaczenie w codziennych obliczeniach.
•
17 października 2025
Ile wynosi g w fizyce? Kluczowe informacje o przyspieszeniu ziemskim
Ile wynosi g w fizyce? Dowiedz się, jak przyspieszenie ziemskie wpływa na ruch obiektów i jakie ma znaczenie w codziennych obliczeniach.