
Oblicz kąt z tangensa na kalkulatorze w prosty sposób! Dowiedz się, jak używać funkcji arcus tangens i uzyskać wyniki w stopniach.
Jako specjalista od mody i stylizacji męskiej, podpowiadam na blogu jak dobierać stroje, dodatki i perfumy, by czuć się pewnie i atrakcyjnie. Doradzam w kreowaniu wizerunku.

Oblicz kąt z tangensa na kalkulatorze w prosty sposób! Dowiedz się, jak używać funkcji arcus tangens i uzyskać wyniki w stopniach.

Oblicz obwód trójkąta prostokątnego w prosty sposób. Dowiedz się, jak unikać błędów i skutecznie stosować wzory do obliczeń.

Oblicz obwód trójkąta w prosty sposób! Poznaj metody, wzory oraz najczęstsze błędy, aby uniknąć pomyłek w obliczeniach.

Oblicz wysokość w trójkącie prostokątnym bez błędów! Poznaj skuteczne wzory i metody obliczeniowe, które ułatwią Ci zadania geometryczne.

Naucz się, jak obliczyć obwód trójkąta równoramiennego. Proste wzory i praktyczne przykłady pomogą Ci szybko zrozumieć tę tematykę.

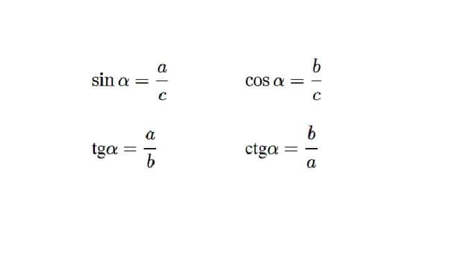
Zrozum, czym jest tangens i jak wykorzystać tę funkcję trygonometryczną w matematyce. Odkryj jej zastosowania w geometrii i analizie matematycznej.

Naucz się, jak obliczyć pole trójkąta równobocznego łatwo i bez błędów. Sprawdź nasz prosty wzór oraz praktyczne przykłady obliczeń.

Zrozum, co to jest cotangens, jego definicję oraz zastosowania w matematyce i geometrii. Dowiedz się, jak obliczać tę funkcję trygonometryczną.

Naucz się, jak obliczyć pole trójkąta rozwartokątnego za pomocą prostych metod i przykładów. Zrozum zasady i unikaj typowych błędów w obliczeniach.

Naucz się, jak obliczyć cotangens w prosty sposób i uniknij błędów w matematyce. Zrozumienie cotangensa pomoże w analizie kątów i zastosowaniach.