Suma co to jest w matematyce – prosta definicja i praktyczne przykłady
Poznaj, czym jest suma w matematyce. Odkryj proste definicje, zasady dodawania oraz praktyczne przykłady, które ułatwią zrozumienie tego kluczowego pojęcia.
Suma co to jest w matematyce – prosta definicja i praktyczne przykłady
Poznaj, czym jest suma w matematyce. Odkryj proste definicje, zasady dodawania oraz praktyczne przykłady, które ułatwią zrozumienie tego kluczowego pojęcia.
Jak się liczy logarytmy? Proste metody i przykłady obliczeń
Naucz się, jak się liczy logarytmy krok po kroku. Odkryj proste metody i przykłady obliczeń, które ułatwią zrozumienie tego tematu.
Ćwiczenia dla dzieci z trudnościami w matematyce, które naprawdę pomagają
Ćwiczenia dla dzieci z trudnościami w matematyce, które rozwijają umiejętności, angażują i ułatwiają naukę poprzez zabawę i interaktywne metody.
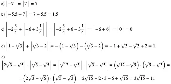
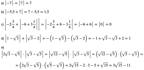
Moduł w matematyce: zrozumienie wartości bezwzględnej i zastosowań
Zrozum moduł w matematyce, jego definicję oraz zastosowania, w tym wartość bezwzględną i role w algebrze oraz analizie zespolonej.
Promile w matematyce: jak je obliczyć i zrozumieć ich zastosowanie
Zrozum, czym są promile w matematyce, jak je obliczać i jakie mają zastosowanie w różnych dziedzinach, takich jak medycyna i finanse.
Jak skutecznie rozwiązywać wyrażenia algebraiczne – proste metody i przykłady
Naucz się, jak skutecznie rozwiązywać wyrażenia algebraiczne. Odkryj proste metody i przykłady, które ułatwią Ci obliczenia i zrozumienie matematyki.
Jak sprawdzić, czy równanie jest tożsamościowe – proste metody i przykłady
Sprawdź, czy równanie jest tożsamościowe, używając prostych metod i przykładów. Poznaj techniki weryfikacji, które ułatwią analizę równań.
Co oznacza r w matematyce? Zrozumienie symboli i zastosowań
Zrozum, co oznacza r w matematyce, jego zastosowania w geometrii i znaczenie w kontekście liczb rzeczywistych. Poznaj kluczowe informacje!
Równania, których rozwiązaniem jest liczba 0 – poznaj kluczowe przykłady
Wskaż równania, których rozwiązaniem jest liczba 0. Poznaj kluczowe przykłady i metody ich rozwiązywania w matematyce.
Liczby, których wartość bezwzględna jest równa 4 – poznaj przykłady i znaczenie
Poznaj liczby, których wartość bezwzględna jest równa 4. Dowiedz się, jakie liczby spełniają ten warunek i jakie mają znaczenie w matematyce.
Dowodzenie w matematyce: Kluczowe metody i przykłady, które musisz znać
Zrozumienie dowodzenia w matematyce jest kluczowe dla każdego ucznia. Poznaj metody i przykłady, które pomogą Ci w nauce i praktyce matematycznej.
Znak większości w matematyce - proste wyjaśnienie i przykłady użycia
Zrozum, jak używać znaku większości w matematyce. Poznaj jego znaczenie, zastosowania oraz praktyczne przykłady, które ułatwią naukę.
Zrozumienie symbolu sigma w matematyce: definicja i zastosowania
Zrozum, jak symbol sigma w matematyce ułatwia obliczenia i analizę danych. Poznaj jego definicję oraz praktyczne zastosowania w różnych dziedzinach.
Jak obliczyć pole trójkąta znając jego boki - prosta metoda Herona
Oblicz pole trójkąta znając jego boki dzięki wzorowi Herona. Prosta metoda, która umożliwia szybkie i dokładne obliczenia bez znajomości wysokości.
Co oznacza w matematyce? Zrozum znaczenie symboli i notacji
Zrozum, co oznacza w matematyce, odkrywając znaczenie symboli i notacji. Poznaj ich zastosowanie w różnych kontekstach i ułatw sobie naukę!
Rozwinięta w matematyce: Kluczowe pojęcia, które musisz znać
Poznaj kluczowe pojęcia rozwinięta w matematyce, takie jak ewoluta i interpolacja. Zrozum ich znaczenie i zastosowanie w różnych dziedzinach.
Jak wyznaczyć równanie okręgu - proste metody i przykłady krok po kroku
Naucz się, jak wyznaczyć równanie okręgu za pomocą prostych metod i przykładów krok po kroku. Zdobądź praktyczne umiejętności w geometrii analitycznej!
Odcinek w matematyce: Jak obliczyć jego długość i właściwości?
Poznaj definicję odcinka w matematyce, jego właściwości oraz metody obliczania długości. Zastosuj wiedzę w praktyce i rozwiązuj zadania matematyczne.
Co to znaczy dm w matematyce? Zrozumienie jednostki decymetra
Dowiedz się, co to znaczy dm w matematyce. Zrozumienie jednostki decymetra pomoże w precyzyjnych pomiarach i obliczeniach w różnych dziedzinach.
Funkcja w matematyce - zrozumienie, przykłady i zastosowania
Zrozumienie funkcji w matematyce, ich rodzaje oraz zastosowania w praktyce. Poznaj przykłady funkcji i ich znaczenie w różnych dziedzinach.
Czynnik w matematyce: prosta definicja i praktyczne przykłady
Poznaj, co to jest czynnik w matematyce. Zrozum jego znaczenie, właściwości oraz praktyczne przykłady w mnożeniu i faktoryzacji.
Zrozumienie zmiennej zależnej w matematyce – klucz do funkcji matematycznych
Poznaj znaczenie zmiennej zależnej w matematyce i jej rolę w funkcjach. Zrozum, jak zależność między zmiennymi wpływa na analizy i prognozy.
Koniunkcja w matematyce: Prosta definicja i kluczowe przykłady
Zrozum koniunkcję w matematyce! Poznaj jej definicję, zastosowanie w logice oraz kluczowe przykłady, które pomogą w nauce.
Logika w matematyce: Kluczowe zasady i ich znaczenie w teorii
Zrozumienie logiki w matematyce jest kluczowe dla analizy teorii, dowodów i zastosowań w różnych dziedzinach matematyki. Poznaj jej zasady i znaczenie.
Liczby naturalne w matematyce: Kluczowe definicje i zastosowania
Zrozumienie liczb naturalnych w matematyce jest kluczowe dla podstawowych operacji oraz ich zastosowań w życiu codziennym i różnych dziedzinach nauki.