Co to jest pierwiastek w matematyce? Zrozumienie kluczowego pojęcia
Zrozum, co to jest pierwiastek w matematyce i jak wpływa na obliczenia. Poznaj jego zastosowania oraz znaczenie w różnych dziedzinach nauki.
Co to jest pierwiastek w matematyce? Zrozumienie kluczowego pojęcia
Zrozum, co to jest pierwiastek w matematyce i jak wpływa na obliczenia. Poznaj jego zastosowania oraz znaczenie w różnych dziedzinach nauki.
Kolejność działań w matematyce klasa 4 - jak uniknąć błędów w obliczeniach
Zrozum zasady kolejności działań w matematyce klasa 4 i unikaj błędów w obliczeniach. Praktyczne przykłady i techniki dla uczniów!
Jak obliczyć logarytm z pierwiastkiem - proste metody i przykłady
Naucz się, jak obliczyć logarytm z pierwiastkiem za pomocą prostych metod i przykładów. Zrozum zasady i zastosowania logarytmów w praktyce.
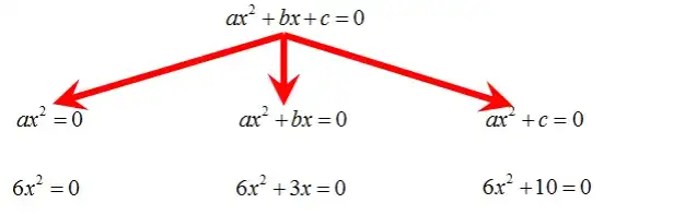
Ile rozwiązań ma równanie? Zaskakujące fakty o różnych typach równań
Ile rozwiązań ma równanie? Sprawdź, jakie typy równań istnieją i jak ich współczynniki wpływają na liczbę rozwiązań. Zaskakujące fakty czekają!
Co to jest suma algebraiczna? Zrozumienie i przykłady w matematyce
Zrozum, co to jest suma algebraiczna i jak ją stosować w matematyce. Przykłady i kluczowe informacje, które pomogą w nauce.
Co to jest wyrażenie algebraiczne? Zrozumienie i przykłady
Poznaj, co to jest wyrażenie algebraiczne i jak je wykorzystać w matematyce. Zrozum kluczowe pojęcia i zastosowania w praktyce.
Jak pozbyć się pierwiastka z równania i uniknąć typowych błędów
Poznaj skuteczne metody, jak pozbyć się pierwiastka z równania oraz uniknij typowych błędów podczas rozwiązywania równań matematycznych.
Co to jest równanie tożsamościowe? Zrozum jego znaczenie i właściwości
Zrozum, co to jest równanie tożsamościowe, jego znaczenie i właściwości. Dowiedz się, jak wykorzystać je w matematyce i praktycznych zastosowaniach.
Jak obliczyć logarytm z ułamkiem - proste kroki i przykłady
Naucz się, jak obliczyć logarytm z ułamkiem w prosty sposób. Sprawdź nasze przykłady i zastosuj praktyczne kroki w swoich obliczeniach!
Jak ustalić, czy podane równanie jest równaniem okręgu?
Sprawdź, czy podane równanie jest równaniem okręgu. Poznaj metody przekształcania równań do standardowej postaci i unikaj typowych błędów.
Jak rozwiązać równanie wielomianowe - proste metody i przykłady
Rozwiąż równanie wielomianowe łatwo i szybko! Poznaj proste metody, przykłady oraz techniki, które pomogą Ci znaleźć pierwiastki wielomianów.
Jak skutecznie nauczyć się logarytmów i uniknąć trudności w matematyce
Naucz się logarytmów skutecznie i unikaj trudności w matematyce. Odkryj najlepsze techniki i materiały, które ułatwią Ci zrozumienie logarytmów.
Która z poniższych liczb jest równa 2? Odpowiedzi, które zaskakują
Zastanawiasz się, która z poniższych liczb jest równa 2? Odkryj zaskakujące odpowiedzi i różne konteksty równości w matematyce.
Jak obliczyć wartość wyrażenia algebraicznego bez błędów i stresu
Naucz się, jak obliczyć wartość wyrażenia algebraicznego bez błędów i stresu. Odkryj proste metody i techniki, które ułatwią Ci obliczenia.
Jak się mnoży logarytmy - proste zasady i najczęstsze błędy
Poznaj proste zasady, jak się mnoży logarytmy, oraz unikaj najczęstszych błędów w obliczeniach. Zwiększ swoją pewność w matematyce już dziś!
Co jeśli logarytm nie ma podstawy? Odkryj domyślne wartości i zastosowania
Zrozum, co jeśli logarytm nie ma podstawy. Dowiedz się o domyślnych wartościach i zastosowaniach logarytmów dziesiętnych i naturalnych w praktyce.
Czy kwarantanna równa się L4? Sprawdź swoje prawa i obowiązki
Czy kwarantanna równa się L4? Sprawdź, jakie masz prawa i obowiązki oraz jakie świadczenia przysługują podczas kwarantanny i zwolnienia lekarskiego.
Pary liczb, których suma jest równa iloczynowi – zaskakujące fakty matematyczne
Poznaj pary liczb, których suma jest równa iloczynowi oraz zaskakujące fakty matematyczne, które ujawniają ich unikalne właściwości.
Jak skutecznie rozwiązać równanie kwadratowe - proste metody i przykłady
Rozwiąż równanie kwadratowe jak rozwiązać dzięki prostym metodom i przykładom. Poznaj różne techniki i zastosowania w praktyce!
Jak przekształcać wyrażenia algebraiczne: proste triki i techniki
Naucz się, jak przekształcać wyrażenia algebraiczne za pomocą prostych trików i technik, które ułatwią rozwiązywanie problemów matematycznych.
Jak sprawdzić, czy podana liczba spełnia dane równanie i uniknąć błędów
Sprawdź, czy podana liczba spełnia dane równanie, unikając typowych błędów. Zrozum zasady podstawiania i weryfikacji równań matematycznych.
Jak rozwiązać układ równań z 2 niewiadomymi – proste metody i przykłady
Naucz się, jak rozwiązać układ równań z 2 niewiadomymi za pomocą prostych metod, takich jak podstawianie i eliminacja. Praktyczne przykłady w artykule!
Jak obliczać równania i nierówności - proste metody i przykłady
Naucz się, jak obliczać równania i nierówności za pomocą prostych metod i przykładów. Zdobądź praktyczne umiejętności matematyczne już dziś!
Jak rozwiązać równanie 3 stopnia – proste metody i przykłady
Poznaj różne metody, jak rozwiązać równanie 3 stopnia, w tym metodę Cardano oraz syntetyczne dzielenie. Praktyczne przykłady i wskazówki.
Jak pisać równania reakcji chemicznych - unikaj najczęstszych błędów
Naucz się, jak pisać równania reakcji chemicznych i unikaj najczęstszych błędów. Zrozum podstawowe zasady i poprawnie zapisuj reakcje chemiczne.