Jak pisać równania reakcji chemicznych - unikaj najczęstszych błędów
Naucz się, jak pisać równania reakcji chemicznych i unikaj najczęstszych błędów. Zrozum podstawowe zasady i poprawnie zapisuj reakcje chemiczne.
Jak pisać równania reakcji chemicznych - unikaj najczęstszych błędów
Naucz się, jak pisać równania reakcji chemicznych i unikaj najczęstszych błędów. Zrozum podstawowe zasady i poprawnie zapisuj reakcje chemiczne.
Jak się liczy równania? Proste metody i najczęstsze błędy
Zrozum, jak się liczy równania, poznając proste metody i najczęstsze błędy, które mogą utrudnić rozwiązywanie równań liniowych i kwadratowych.
Kiedy równanie ma nieskończenie wiele rozwiązań? Zrozum to teraz!
Dowiedz się, kiedy równanie ma nieskończenie wiele rozwiązań i jakie są jego cechy. Zrozum kluczowe aspekty równań w matematyce i ich zastosowania.
Jak się rozwiązuje logarytmy? Proste metody i przykłady krok po kroku
Naucz się, jak się rozwiązuje logarytmy dzięki prostym metodom i przykładom krok po kroku. Zdobądź praktyczne umiejętności w obliczeniach logarytmicznych!
Rozwiązywanie równań jak to się robi – proste metody i przykłady
Rozwiązywanie równań jak to się robi? Poznaj proste metody i przykłady, które pomogą Ci skutecznie rozwiązywać równania w matematyce.
Jak zrozumieć wyrażenia algebraiczne klasa 7 - proste przykłady i ćwiczenia
Naucz się, jak zrozumieć wyrażenia algebraiczne w klasie 7 dzięki prostym przykładom i ćwiczeniom, które ułatwią Ci opanowanie tego tematu.
Jak rozwiązać równanie różniczkowe? Sprawdzone metody i przykłady
Poznaj skuteczne metody, jak rozwiązać równanie różniczkowe. Oferujemy praktyczne przykłady oraz techniki, które ułatwią Ci zrozumienie tego tematu.
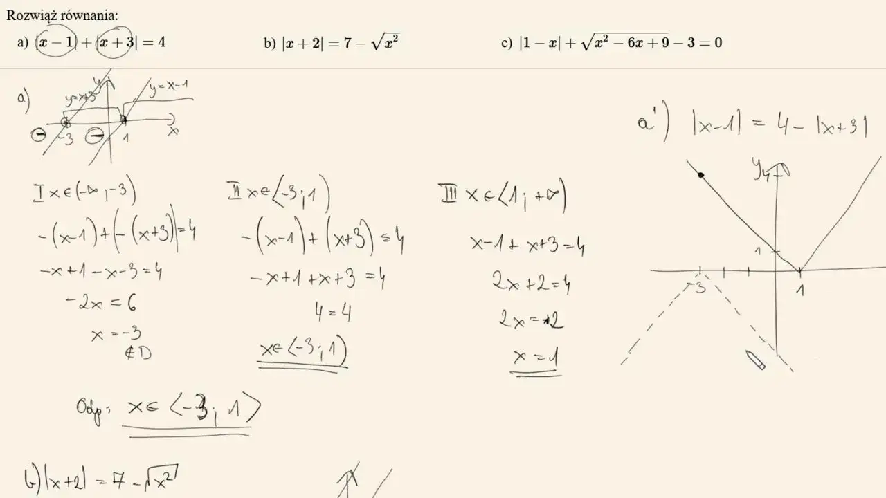
Jak rozwiązać równanie z wartością bezwzględną - uniknij najczęstszych błędów
Rozwiąż równanie z wartością bezwzględną krok po kroku. Unikaj najczęstszych błędów i naucz się skutecznych metod rozwiązywania równań.
Co to równanie sprzeczne? Zrozumienie i przykłady bez błędów
Zrozum, co to równanie sprzeczne, i poznaj jego cechy oraz przykłady. Dowiedz się, jak unikać błędów w matematyce!
Jak skutecznie rozwiązywać równania wymierne - sprawdzone metody
Naucz się, jak skutecznie rozwiązywać równania wymierne. Odkryj sprawdzone metody i techniki, które ułatwią Ci obliczenia i analizę.
Co to wyrażenia algebraiczne? Zrozumienie ich znaczenia i zastosowania
Poznaj, co to wyrażenia algebraiczne i jak wpływają na różne dziedziny życia. Zrozum ich znaczenie oraz praktyczne zastosowania w naukach i inżynierii.
Jak rozwiązywać równania kwadratowe - proste metody i przykłady
Naucz się, jak rozwiązywać równania kwadratowe za pomocą prostych metod i przykładów. Zdobądź pewność siebie w matematyce i osiągnij sukces!
Jakie wartości parametru m spełniają równanie? Odkryj odpowiedzi
Zrozum, dla jakich wartości parametru m równanie ma rozwiązania. Sprawdź, jak dyskryminant wpływa na charakterystykę równań kwadratowych.
Jak dodawać logarytmy: proste metody i najczęstsze błędy
Naucz się, jak dodawać logarytmy o tej samej podstawie, unikaj najczęstszych błędów i popraw swoje umiejętności matematyczne z naszymi prostymi metodami.
Co to jest równanie? Zrozumienie kluczowych pojęć matematycznych
Poznaj, co to jest równanie i jakie są jego kluczowe pojęcia w matematyce. Zrozumienie równań otworzy przed Tobą nowe możliwości w nauce!
Czy podane wyrażenia algebraiczne są równe 3x? Sprawdź, co to znaczy
Sprawdź, czy podane wyrażenia algebraiczne są równe 3x. Zrozumienie równości w algebrze pomoże Ci w rozwiązywaniu równań i analizie wyrażeń.
Jednostki miary w matematyce: Kluczowe definicje i zastosowania
Poznaj jednostki miary w matematyce, ich definicje, zastosowania oraz znaczenie w codziennym życiu. Dowiedz się, jak ułatwiają obliczenia i pomiary.
Wektory w matematyce - zrozumienie definicji i ich zastosowań
Poznaj, czym są wektory w matematyce, ich właściwości oraz zastosowania w różnych dziedzinach, takich jak fizyka i grafika komputerowa.
Jak rozwiązać układ równań metodą podstawiania bez błędów i stresu
Naucz się, jak rozwiązać układ równań metodą podstawiania bez błędów i stresu. Zdobądź praktyczne wskazówki i przykłady, aby ułatwić sobie naukę.
Znak przybliżenia w matematyce - jak go używać i zrozumieć?
Zrozum, jak używać znaku przybliżenia w matematyce, aby skutecznie wyrażać oszacowania i poprawiać dokładność obliczeń w różnych kontekstach.
Co to jest iloraz w matematyce? Zrozumienie i przykłady obliczeń
Poznaj, co to jest iloraz w matematyce i jak go obliczać. Zrozumienie tej podstawowej operacji ułatwi rozwiązywanie problemów matematycznych.
Jak rozwiązywać układy równań metodą podstawiania - proste kroki i przykłady
Naucz się, jak rozwiązywać układy równań metodą podstawiania. Proste kroki i praktyczne przykłady pomogą Ci zrozumieć tę popularną technikę.
Kiedy układ równań jest nieoznaczony? Poznaj kluczowe cechy i przykłady
Dowiedz się, kiedy układ równań jest nieoznaczony, jakie ma cechy oraz jak je rozpoznać. Poznaj przykłady i zastosowania w praktyce.
Co to jest mianownik w matematyce i dlaczego jest tak ważny?
Zrozum, co to jest mianownik w matematyce i jak wpływa na ułamki. Dowiedz się, dlaczego jest kluczowy w obliczeniach matematycznych.
Co to jest debet w matematyce i dlaczego może Cię zmylić?
Zrozumienie, co to jest debet w matematyce, jest kluczowe dla uniknięcia nieporozumień. Dowiedz się, jak ten termin wpływa na finanse i rachunkowość.