Jak skutecznie nauczyć się logarytmów i uniknąć trudności w matematyce
Naucz się logarytmów skutecznie i unikaj trudności w matematyce. Odkryj najlepsze techniki i materiały, które ułatwią Ci zrozumienie logarytmów.
Jak skutecznie nauczyć się logarytmów i uniknąć trudności w matematyce
Naucz się logarytmów skutecznie i unikaj trudności w matematyce. Odkryj najlepsze techniki i materiały, które ułatwią Ci zrozumienie logarytmów.
Która z poniższych liczb jest równa 2? Odpowiedzi, które zaskakują
Zastanawiasz się, która z poniższych liczb jest równa 2? Odkryj zaskakujące odpowiedzi i różne konteksty równości w matematyce.
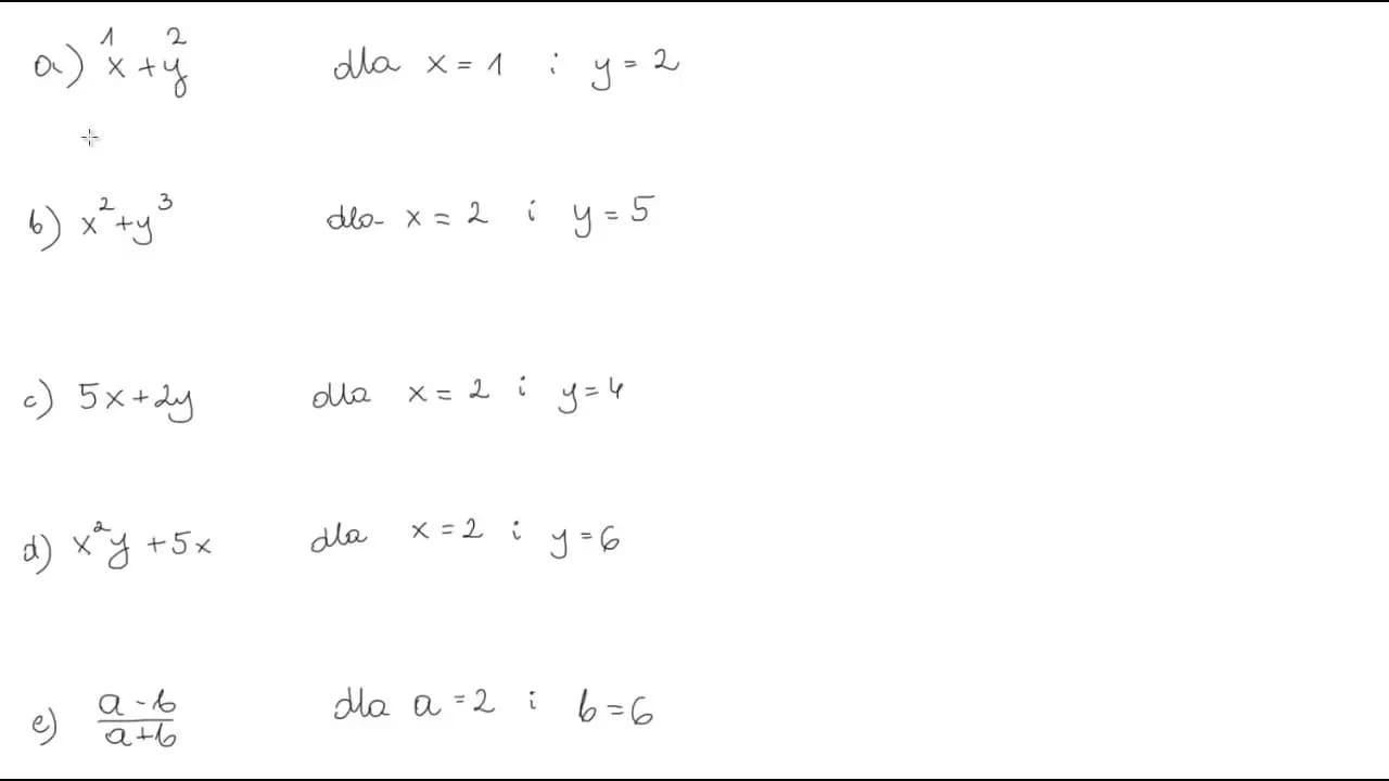
Jak obliczyć wartość wyrażenia algebraicznego bez błędów i stresu
Naucz się, jak obliczyć wartość wyrażenia algebraicznego bez błędów i stresu. Odkryj proste metody i techniki, które ułatwią Ci obliczenia.
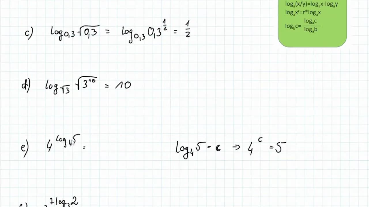
Jak się mnoży logarytmy - proste zasady i najczęstsze błędy
Poznaj proste zasady, jak się mnoży logarytmy, oraz unikaj najczęstszych błędów w obliczeniach. Zwiększ swoją pewność w matematyce już dziś!
Co jeśli logarytm nie ma podstawy? Odkryj domyślne wartości i zastosowania
Zrozum, co jeśli logarytm nie ma podstawy. Dowiedz się o domyślnych wartościach i zastosowaniach logarytmów dziesiętnych i naturalnych w praktyce.
Czy kwarantanna równa się L4? Sprawdź swoje prawa i obowiązki
Czy kwarantanna równa się L4? Sprawdź, jakie masz prawa i obowiązki oraz jakie świadczenia przysługują podczas kwarantanny i zwolnienia lekarskiego.
Pary liczb, których suma jest równa iloczynowi – zaskakujące fakty matematyczne
Poznaj pary liczb, których suma jest równa iloczynowi oraz zaskakujące fakty matematyczne, które ujawniają ich unikalne właściwości.
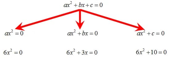
Jak skutecznie rozwiązać równanie kwadratowe - proste metody i przykłady
Rozwiąż równanie kwadratowe jak rozwiązać dzięki prostym metodom i przykładom. Poznaj różne techniki i zastosowania w praktyce!
Jak przekształcać wyrażenia algebraiczne: proste triki i techniki
Naucz się, jak przekształcać wyrażenia algebraiczne za pomocą prostych trików i technik, które ułatwią rozwiązywanie problemów matematycznych.
Jak sprawdzić, czy podana liczba spełnia dane równanie i uniknąć błędów
Sprawdź, czy podana liczba spełnia dane równanie, unikając typowych błędów. Zrozum zasady podstawiania i weryfikacji równań matematycznych.