Liczby naturalne w matematyce: Kluczowe definicje i zastosowania
Zrozumienie liczb naturalnych w matematyce jest kluczowe dla podstawowych operacji oraz ich zastosowań w życiu codziennym i różnych dziedzinach nauki.
Zrozumienie liczb naturalnych w matematyce jest kluczowe dla podstawowych operacji oraz ich zastosowań w życiu codziennym i różnych dziedzinach nauki.
Zrozum, co to jest pierwiastek w matematyce i jak wpływa na obliczenia. Poznaj jego zastosowania oraz znaczenie w różnych dziedzinach nauki.
Zrozum zasady kolejności działań w matematyce klasa 4 i unikaj błędów w obliczeniach. Praktyczne przykłady i techniki dla uczniów!
Naucz się, jak obliczyć logarytm z pierwiastkiem za pomocą prostych metod i przykładów. Zrozum zasady i zastosowania logarytmów w praktyce.
Zrozum, co to jest suma algebraiczna i jak ją stosować w matematyce. Przykłady i kluczowe informacje, które pomogą w nauce.
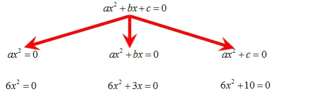
Ile rozwiązań ma równanie? Sprawdź, jakie typy równań istnieją i jak ich współczynniki wpływają na liczbę rozwiązań. Zaskakujące fakty czekają!
Poznaj, co to jest wyrażenie algebraiczne i jak je wykorzystać w matematyce. Zrozum kluczowe pojęcia i zastosowania w praktyce.
Zabawka ciężarówka z naczepą to idealna propozycja dla dzieci, które chcą się bawić i uczyć jednocześnie. Sprawdź nasze najlepsze modele!
Poznaj skuteczne metody, jak pozbyć się pierwiastka z równania oraz uniknij typowych błędów podczas rozwiązywania równań matematycznych.
Zabawki Hyundai Tucson to idealny wybór dla małych fanów motoryzacji. Sprawdź modele, ceny i opinie użytkowników, aby znaleźć najlepszą zabawkę dla swojego dziecka!
Zrozum, co to jest równanie tożsamościowe, jego znaczenie i właściwości. Dowiedz się, jak wykorzystać je w matematyce i praktycznych zastosowaniach.
Naucz się, jak obliczyć logarytm z ułamkiem w prosty sposób. Sprawdź nasze przykłady i zastosuj praktyczne kroki w swoich obliczeniach!
Sprawdź, czy podane równanie jest równaniem okręgu. Poznaj metody przekształcania równań do standardowej postaci i unikaj typowych błędów.
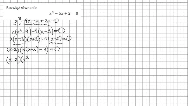
Rozwiąż równanie wielomianowe łatwo i szybko! Poznaj proste metody, przykłady oraz techniki, które pomogą Ci znaleźć pierwiastki wielomianów.
Oferujemy najlepsze pianina dla dzieci zabawka, które rozweselą malucha i wspierają jego rozwój muzyczny. Sprawdź nasze propozycje już teraz!
Naucz się logarytmów skutecznie i unikaj trudności w matematyce. Odkryj najlepsze techniki i materiały, które ułatwią Ci zrozumienie logarytmów.
Odkryj najlepsze modele koni do jeżdżenia zabawka dla dzieci. Sprawdź ceny i wybierz idealny prezent, który zapewni radość i zabawę!
Zastanawiasz się, która z poniższych liczb jest równa 2? Odkryj zaskakujące odpowiedzi i różne konteksty równości w matematyce.
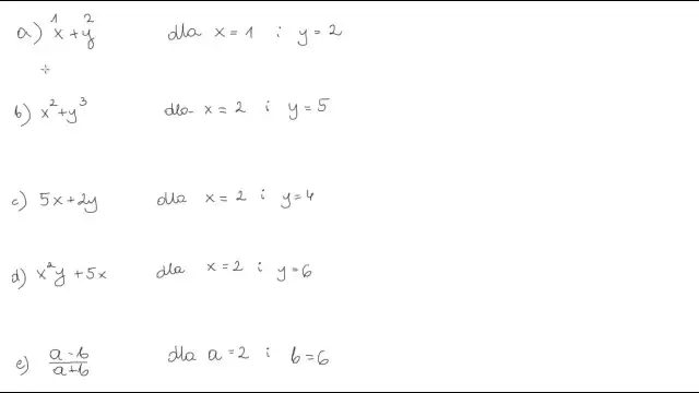
Naucz się, jak obliczyć wartość wyrażenia algebraicznego bez błędów i stresu. Odkryj proste metody i techniki, które ułatwią Ci obliczenia.
Poznaj proste zasady, jak się mnoży logarytmy, oraz unikaj najczęstszych błędów w obliczeniach. Zwiększ swoją pewność w matematyce już dziś!
Zrozum, co jeśli logarytm nie ma podstawy. Dowiedz się o domyślnych wartościach i zastosowaniach logarytmów dziesiętnych i naturalnych w praktyce.
Znajdź idealną pony zabawkę dla swojego dziecka! Oferujemy szeroki wybór kucyków My Little Pony i akcesoriów, które zachwycą każdego fana.
Fortepian dla dzieci zabawka to idealny wybór, który rozweseli maluchy i wspiera ich kreatywność. Sprawdź nasze propozycje i wybierz najlepszy model!
Czy kwarantanna równa się L4? Sprawdź, jakie masz prawa i obowiązki oraz jakie świadczenia przysługują podczas kwarantanny i zwolnienia lekarskiego.
Poznaj pary liczb, których suma jest równa iloczynowi oraz zaskakujące fakty matematyczne, które ujawniają ich unikalne właściwości.
Rozwiąż równanie kwadratowe jak rozwiązać dzięki prostym metodom i przykładom. Poznaj różne techniki i zastosowania w praktyce!
Naucz się, jak przekształcać wyrażenia algebraiczne za pomocą prostych trików i technik, które ułatwią rozwiązywanie problemów matematycznych.