Jak sprawdzić, czy podana liczba spełnia dane równanie i uniknąć błędów
Sprawdź, czy podana liczba spełnia dane równanie, unikając typowych błędów. Zrozum zasady podstawiania i weryfikacji równań matematycznych.
Sprawdź, czy podana liczba spełnia dane równanie, unikając typowych błędów. Zrozum zasady podstawiania i weryfikacji równań matematycznych.
Znajdź idealną kolejkę pociąg zabawka dla swojego dziecka! Oferujemy najlepsze modele, które rozweselą maluchy i pobudzą ich wyobraźnię.
Naucz się, jak rozwiązać układ równań z 2 niewiadomymi za pomocą prostych metod, takich jak podstawianie i eliminacja. Praktyczne przykłady w artykule!
Naucz się, jak obliczać równania i nierówności za pomocą prostych metod i przykładów. Zdobądź praktyczne umiejętności matematyczne już dziś!
Poznaj różne metody, jak rozwiązać równanie 3 stopnia, w tym metodę Cardano oraz syntetyczne dzielenie. Praktyczne przykłady i wskazówki.
Naucz się, jak rozwiązywać równania trygonometryczne za pomocą prostych metod i przykładów. Ułatw sobie matematykę i osiągnij lepsze wyniki!
Naucz się, jak pisać równania reakcji chemicznych i unikaj najczęstszych błędów. Zrozum podstawowe zasady i poprawnie zapisuj reakcje chemiczne.
Zrozum, jak się liczy równania, poznając proste metody i najczęstsze błędy, które mogą utrudnić rozwiązywanie równań liniowych i kwadratowych.
Znajdź idealną zabawkę z Króla Lwa dla swojego dziecka! Oferujemy szeroki wybór zabawek, które rozbudzą wyobraźnię i radość. Wybierz już dziś!
Najlepsze monster truck zabawka czekają na Ciebie! Wybierz zdalnie sterowane modele, które zapewnią niezapomniane emocje i zabawę dla całej rodziny.
Zastanawiasz się, jak uszyć matę edukacyjną? Poznaj proste kroki i materiały, które ułatwią Ci to zadanie!
Dowiedz się, kiedy równanie ma nieskończenie wiele rozwiązań i jakie są jego cechy. Zrozum kluczowe aspekty równań w matematyce i ich zastosowania.
Naucz się, jak się rozwiązuje logarytmy dzięki prostym metodom i przykładom krok po kroku. Zdobądź praktyczne umiejętności w obliczeniach logarytmicznych!
Rozwiązywanie równań jak to się robi? Poznaj proste metody i przykłady, które pomogą Ci skutecznie rozwiązywać równania w matematyce.
Naucz się, jak zrozumieć wyrażenia algebraiczne w klasie 7 dzięki prostym przykładom i ćwiczeniom, które ułatwią Ci opanowanie tego tematu.
Poznaj skuteczne metody, jak rozwiązać równanie różniczkowe. Oferujemy praktyczne przykłady oraz techniki, które ułatwią Ci zrozumienie tego tematu.
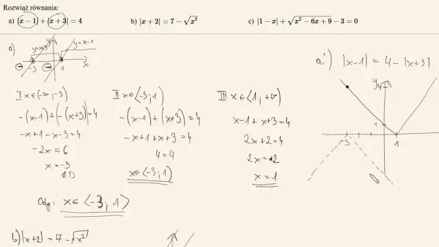
Rozwiąż równanie z wartością bezwzględną krok po kroku. Unikaj najczęstszych błędów i naucz się skutecznych metod rozwiązywania równań.
Zrozum, co to równanie sprzeczne, i poznaj jego cechy oraz przykłady. Dowiedz się, jak unikać błędów w matematyce!
Naucz się, jak rozwiązywać równania kwadratowe za pomocą prostych metod i przykładów. Zdobądź pewność siebie w matematyce i osiągnij sukces!
Poznaj, co to wyrażenia algebraiczne i jak wpływają na różne dziedziny życia. Zrozum ich znaczenie oraz praktyczne zastosowania w naukach i inżynierii.
Naucz się, jak skutecznie rozwiązywać równania wymierne. Odkryj sprawdzone metody i techniki, które ułatwią Ci obliczenia i analizę.
Zobacz, jak powstaje cukier w fascynującym filmie edukacyjnym dla dzieci! Zaskakujące fakty i ciekawostki, które rozbudzą wyobraźnię maluchów.
Jak to działa gra edukacyjna? Dowiedz się, jak wspiera naukę dzieci poprzez zabawę, rozwijając ich umiejętności i kreatywność.
Zrozum, dla jakich wartości parametru m równanie ma rozwiązania. Sprawdź, jak dyskryminant wpływa na charakterystykę równań kwadratowych.
Naucz się, jak dodawać logarytmy o tej samej podstawie, unikaj najczęstszych błędów i popraw swoje umiejętności matematyczne z naszymi prostymi metodami.
Sprawdź, czy podane wyrażenia algebraiczne są równe 3x. Zrozumienie równości w algebrze pomoże Ci w rozwiązywaniu równań i analizie wyrażeń.
Poznaj, co to jest równanie i jakie są jego kluczowe pojęcia w matematyce. Zrozumienie równań otworzy przed Tobą nowe możliwości w nauce!