Obliczanie wartości wyrażenia algebraicznego może wydawać się skomplikowane, ale w rzeczywistości jest to proces, który można zrozumieć i opanować. Wystarczy podstawić konkretne liczby pod zmienne, które występują w wyrażeniu. W tym artykule przedstawimy krok po kroku, jak to zrobić, aby uniknąć błędów i stresu związanego z obliczeniami.
Ważne jest, aby zrozumieć rolę zmiennych oraz sposoby podstawiania liczb. Dodatkowo omówimy najczęstsze błędy, które mogą wystąpić podczas obliczeń, oraz jak ich unikać. Na końcu przedstawimy metody weryfikacji obliczeń, aby upewnić się, że wyniki są poprawne. Dzięki tym informacjom, obliczanie wartości wyrażeń algebraicznych stanie się prostsze i bardziej przejrzyste.
Kluczowe wnioski:- Podstawienie konkretnych liczb pod zmienne jest kluczowe dla obliczenia wartości wyrażenia algebraicznego.
- Zrozumienie roli zmiennych pomaga w prawidłowym wykonywaniu obliczeń.
- W artykule przedstawiono przykłady podstawiania liczb w różnych wyrażeniach algebraicznych.
- Wskazówki dotyczące unikania typowych błędów zwiększają dokładność obliczeń.
- Weryfikacja obliczeń jest istotnym krokiem, aby upewnić się, że wyniki są poprawne.
- Istnieją różne narzędzia i zasoby, które mogą wspierać proces obliczeń algebraicznych.
Jak obliczyć wartość wyrażenia algebraicznego krok po kroku
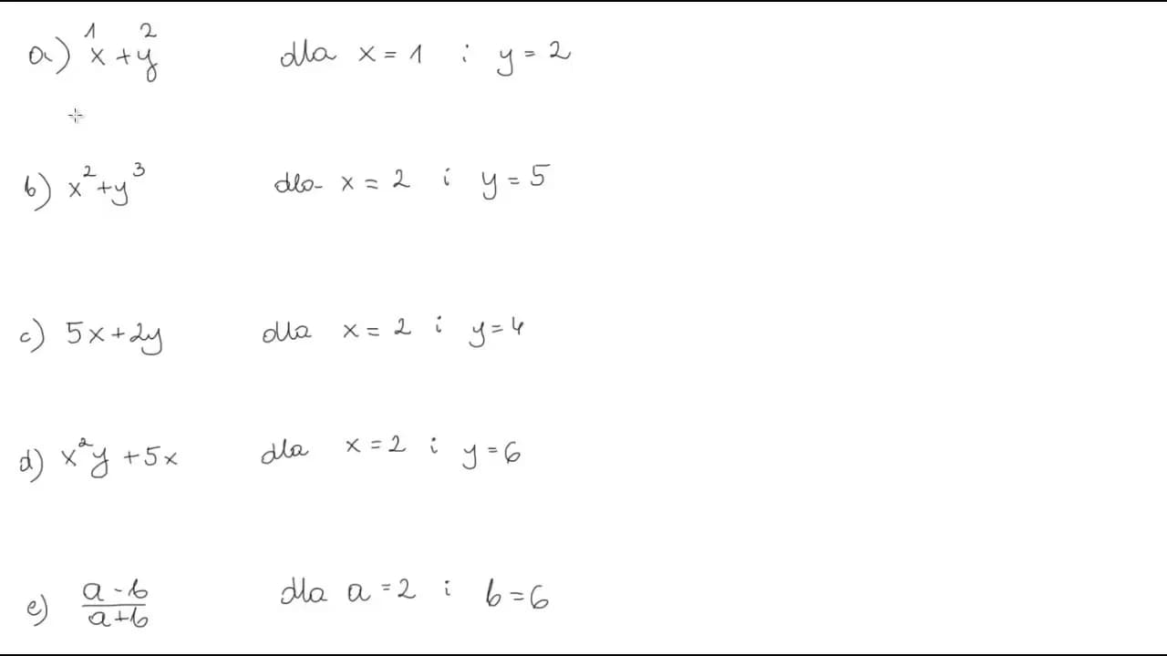
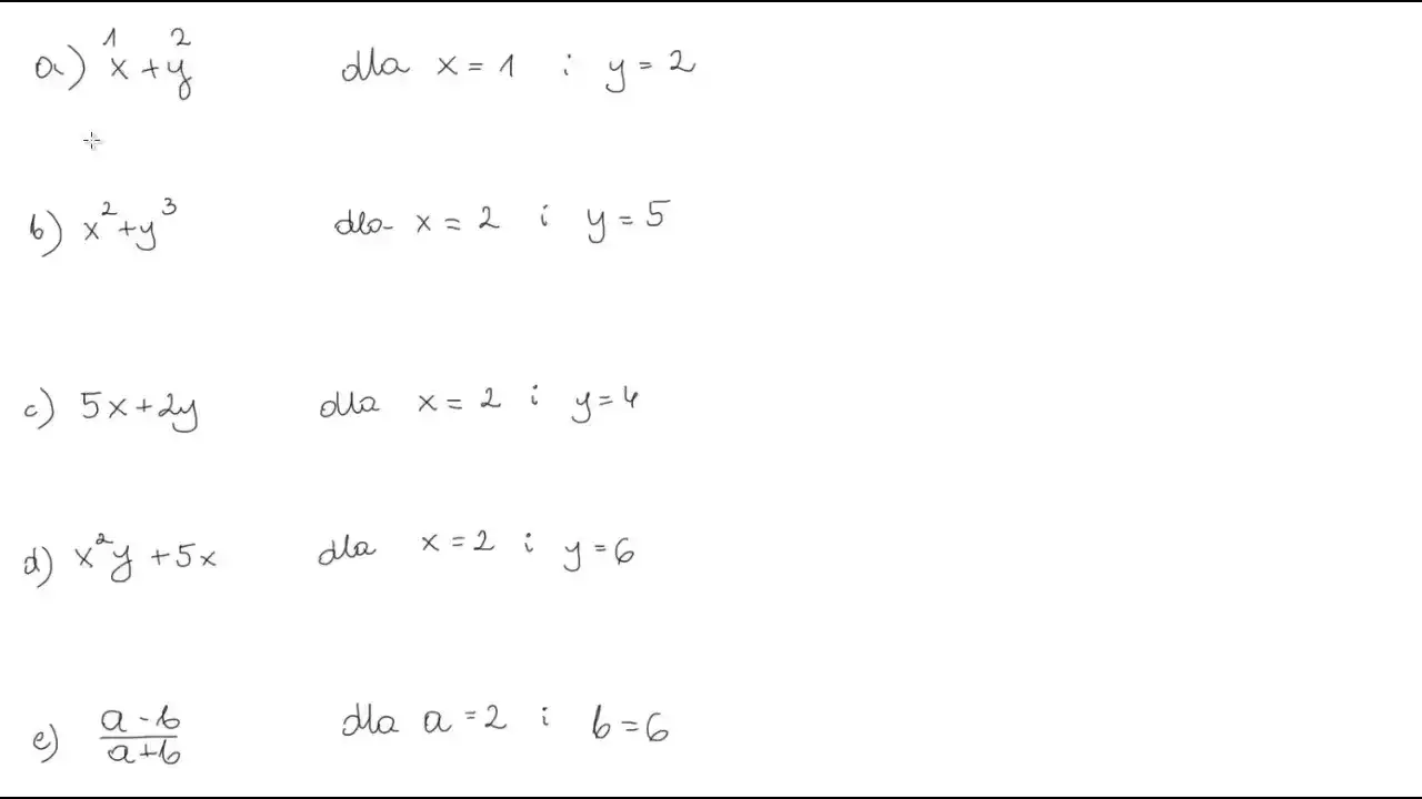
Aby obliczyć wartość wyrażenia algebraicznego, kluczowe jest zrozumienie, jak podstawiać konkretne liczby pod zmienne. Proces ten polega na zastąpieniu liter (zmiennych) w wyrażeniu odpowiednimi wartościami liczbowymi. Dzięki temu możemy uzyskać wynik, który jest zrozumiały i przydatny. Ważne jest, aby każdy krok był dokładny, co pozwoli uniknąć błędów w obliczeniach. Przykładowo, jeśli mamy wyrażenie algebraiczne 2x + 3, a zmienną x zastąpimy liczbą 4, to obliczenie wartości wyrażenia wygląda następująco: 2 * 4 + 3, co daje nam 8 + 3 = 11. To prosty przykład, ale ilustruje, jak ważne jest prawidłowe podstawienie. W kolejnych częściach artykułu omówimy szczegółowo, jak unikać błędów oraz jak weryfikować obliczenia.- Zidentyfikuj zmienne w wyrażeniu.
- Przygotuj konkretne liczby do podstawienia.
- Podstaw liczby pod zmienne, zachowując odpowiednią kolejność działań.
- Wykonaj obliczenia, pamiętając o regułach matematycznych.
- Sprawdź wynik, aby upewnić się, że obliczenia są poprawne.
Zrozumienie zmiennych i ich roli w wyrażeniach algebraicznych
Zmienna w matematyce to symbol, który reprezentuje nieznaną wartość. W wyrażeniach algebraicznych, zmienne są kluczowe, ponieważ pozwalają na tworzenie ogólnych równań, które mogą być stosowane w różnych sytuacjach. Zrozumienie, jak działają zmienne, jest niezbędne do prawidłowego obliczania wartości wyrażeń. Zmienne mogą przyjmować różne wartości, co sprawia, że wyrażenia algebraiczne są elastyczne i mogą opisywać wiele różnych scenariuszy.
Rola zmiennych w obliczeniach jest ogromna. Dzięki nim możemy modelować rzeczywistość i rozwiązywać różne problemy. Kiedy podstawiamy liczby pod zmienne, przekształcamy te ogólne wyrażenia w konkretne wyniki, co czyni je bardziej użytecznymi w praktyce.
Przykłady podstawiania liczb do wyrażeń algebraicznych
Podstawianie liczb do wyrażeń algebraicznych to kluczowy krok w obliczaniu ich wartości. Przyjrzyjmy się najpierw prostemu przykładowi. Załóżmy, że mamy wyrażenie 3x + 5. Jeśli podstawimy za zmienną x wartość 2, nasze obliczenie wygląda następująco: 3 * 2 + 5. Wykonując mnożenie, otrzymujemy 6, a następnie dodajemy 5, co daje nam wynik 11. To pokazuje, jak łatwo można obliczyć wartość wyrażenia, stosując konkretne liczby.
Teraz przeanalizujmy bardziej złożony przykład. Rozważmy wyrażenie 4x^2 - 3y + 7. Jeśli podstawimy x = 3 i y = 2, nasze obliczenia będą wyglądać tak: 4 * (3^2) - 3 * 2 + 7. Najpierw obliczamy 3^2, co daje 9, następnie 4 * 9 = 36. Kolejny krok to -3 * 2, co daje -6. Teraz dodajemy wszystkie składniki: 36 - 6 + 7, co prowadzi do wyniku 37. W ten sposób widzimy, jak złożone wyrażenie można uprościć do jednego wyniku poprzez odpowiednie podstawienie wartości zmiennych.
| Wyrażenie | Podstawione wartości | Wynik |
|---|---|---|
| 3x + 5 | x = 2 | 11 |
| 4x^2 - 3y + 7 | x = 3, y = 2 | 37 |
Jak unikać typowych pomyłek przy podstawianiu
Aby skutecznie unikać błędów podczas podstawiania wartości do wyrażeń algebraicznych, warto stosować kilka sprawdzonych strategii. Po pierwsze, zawsze upewnij się, że rozumiesz, jakie zmienne podstawiasz i jakie mają one wartości. Przed przystąpieniem do obliczeń, zapisz wszystkie podstawione liczby obok wyrażenia, aby mieć jasny obraz tego, co robisz. Po drugie, wykonuj obliczenia krok po kroku, nie pomijając żadnych działań matematycznych. Często błędy wynikają z pośpiechu lub nieuwagi, więc warto poświęcić chwilę na dokładne wykonanie każdego kroku.Dodatkowo, warto korzystać z kalkulatorów lub aplikacji do obliczeń, które mogą pomóc w weryfikacji wyników. Po każdym obliczeniu, sprawdź, czy wynik jest zgodny z oczekiwaniami. Przykładowo, jeśli podstawiasz liczby do wyrażenia 2x + 3, a po obliczeniach otrzymujesz wynik znacznie różniący się od tego, czego się spodziewałeś, wróć i sprawdź swoje podstawienia oraz działania. Dzięki tym prostym krokom, możesz znacznie zredukować ryzyko popełnienia błędów.
Dlaczego ważne jest poprawne zrozumienie działań matematycznych
Poprawne zrozumienie działań matematycznych, takich jak dodawanie, odejmowanie, mnożenie i dzielenie, jest kluczowe w kontekście wyrażeń algebraicznych. Często błędy w obliczeniach wynikają z nieprawidłowego stosowania tych operacji. Na przykład, pomylenie kolejności działań może prowadzić do zupełnie innych wyników. Dlatego tak ważne jest, aby dobrze znać zasady matematyki i stosować je konsekwentnie podczas podstawiania wartości do zmiennych.
Niewłaściwe zrozumienie tych podstawowych operacji może prowadzić do frustracji i błędnych wyników. Warto zatem poświęcić czas na naukę i ćwiczenie tych działań, aby stać się pewniejszym w obliczeniach. Im lepiej zrozumiesz, jak działają różne operacje, tym łatwiej będzie Ci unikać błędów podczas pracy z wyrażeniami algebraicznymi.
Weryfikacja obliczeń: jak upewnić się, że wynik jest poprawny
Weryfikacja obliczeń jest kluczowym krokiem w procesie obliczania wartości wyrażeń algebraicznych. Upewnienie się, że wyniki są poprawne, pozwala uniknąć błędów, które mogą prowadzić do fałszywych wniosków. Istnieje wiele metod weryfikacji, które można zastosować, aby potwierdzić poprawność obliczeń. Jedną z najprostszych jest ponowne wykonanie obliczeń, krok po kroku, aby upewnić się, że każdy etap został prawidłowo przeprowadzony.
Inną skuteczną metodą jest użycie różnych podejść do obliczeń. Na przykład, jeśli obliczasz wartość wyrażenia algebraicznego, możesz spróbować rozwiązać je w inny sposób, na przykład poprzez graficzne przedstawienie funkcji. Użycie kalkulatorów lub programów komputerowych również może pomóc w szybkim sprawdzeniu wyników. Ważne jest, aby zawsze mieć na uwadze, że weryfikacja obliczeń jest niezbędna, aby zapewnić dokładność i niezawodność wyników.
- Ponowne wykonanie obliczeń krok po kroku.
- Użycie różnych metod obliczeniowych dla porównania wyników.
- Sprawdzenie wyników za pomocą kalkulatorów lub programów matematycznych.
Metody sprawdzania obliczeń algebraicznych
Aby skutecznie sprawdzić obliczenia algebraiczne, warto zastosować kilka sprawdzonych metod. Po pierwsze, można użyć kalkulatorów graficznych, które automatycznie obliczają wartości wyrażeń i pozwalają na wizualizację funkcji. Po drugie, warto korzystać z programów komputerowych, takich jak Excel czy Mathematica, które oferują zaawansowane funkcje obliczeniowe. Te narzędzia mogą pomóc w szybkim wykrywaniu błędów i potwierdzaniu wyników.
Inną metodą jest porównanie wyników z danymi z innych źródeł, takich jak podręczniki matematyczne czy zasoby internetowe. Można również poprosić kogoś innego o sprawdzenie obliczeń, co często pomaga zauważyć błędy, które mogły zostać przeoczone. Dzięki tym technikom można skutecznie weryfikować obliczenia i mieć pewność, że wyniki są poprawne.
Narzędzia i zasoby wspierające poprawne obliczenia
W dzisiejszych czasach istnieje wiele narzędzi i zasobów, które mogą pomóc w weryfikacji obliczeń algebraicznych. Kalkulatory online to jedna z najprostszych opcji, które umożliwiają szybkie i dokładne obliczenia. Dzięki nim można łatwo podstawić wartości do zmiennych i natychmiast uzyskać wynik. Warto również korzystać z aplikacji mobilnych, które oferują funkcje obliczeniowe i mogą być używane w dowolnym miejscu i czasie.
Kolejnym przydatnym narzędziem są programy komputerowe, takie jak Microsoft Excel czy Mathematica, które pozwalają na bardziej zaawansowane obliczenia i analizę danych. Te programy oferują szereg funkcji, które mogą pomóc w tworzeniu skomplikowanych równań i ich weryfikacji. Ponadto, wiele stron internetowych oferuje zasoby edukacyjne, takie jak tutoriale i filmy instruktażowe, które mogą pomóc w lepszym zrozumieniu zasad obliczeń algebraicznych.
- Kalkulatory online, takie jak Wolfram Alpha i Symbolab, które umożliwiają szybkie obliczenia.
- Aplikacje mobilne, takie jak Photomath, które pomagają w rozwiązywaniu równań.
- Programy komputerowe, takie jak Microsoft Excel i Mathematica, do bardziej zaawansowanych obliczeń.
- Strony internetowe z zasobami edukacyjnymi, oferujące tutoriale i materiały wideo.
Czytaj więcej: Trzymanie rąk za plecami: Co mówi o Tobie ten gest?
Jak wykorzystać technologię do nauki obliczeń algebraicznych
W dzisiejszym świecie technologia odgrywa kluczową rolę w nauce matematyki, w tym w obliczeniach algebraicznych. Warto wykorzystać interaktywne platformy edukacyjne, które oferują symulacje i ćwiczenia w czasie rzeczywistym. Takie narzędzia, jak GeoGebra czy Desmos, pozwalają na wizualizację wyrażeń algebraicznych i ich wartości, co znacząco ułatwia zrozumienie skomplikowanych zagadnień. Dzięki nim uczniowie mogą eksperymentować z różnymi wartościami zmiennych i natychmiast obserwować, jak te zmiany wpływają na wynik.
Co więcej, uczenie się poprzez gry edukacyjne stało się popularnym sposobem na przyswajanie wiedzy matematycznej. Gry te nie tylko angażują, ale także motywują do nauki, co może prowadzić do lepszego opanowania umiejętności obliczeniowych. Uczniowie mogą rywalizować w rozwiązywaniu problemów algebraicznych, co sprzyja rozwijaniu ich zdolności analitycznych i logicznego myślenia. Wykorzystanie technologii w nauce matematyki otwiera nowe możliwości i sprawia, że proces uczenia się staje się bardziej dynamiczny i przyjemny.






