
Zabawki edukacyjne układ słoneczny dla dzieci, które łączą naukę z zabawą. Odkryj fascynujący świat planet i gwiazd już dziś!
Jako specjalista od mody i stylizacji męskiej, podpowiadam na blogu jak dobierać stroje, dodatki i perfumy, by czuć się pewnie i atrakcyjnie. Doradzam w kreowaniu wizerunku.

Zabawki edukacyjne układ słoneczny dla dzieci, które łączą naukę z zabawą. Odkryj fascynujący świat planet i gwiazd już dziś!

Zrozum koniunkcję w matematyce! Poznaj jej definicję, zastosowanie w logice oraz kluczowe przykłady, które pomogą w nauce.

Zrozumienie logiki w matematyce jest kluczowe dla analizy teorii, dowodów i zastosowań w różnych dziedzinach matematyki. Poznaj jej zasady i znaczenie.

Sadzarka do ziemniaków zabawka to idealna edukacyjna zabawka dla dzieci, rozwijająca kreatywność i umiejętności manualne. Zainwestuj w radość i naukę!

Zrozumienie liczb naturalnych w matematyce jest kluczowe dla podstawowych operacji oraz ich zastosowań w życiu codziennym i różnych dziedzinach nauki.

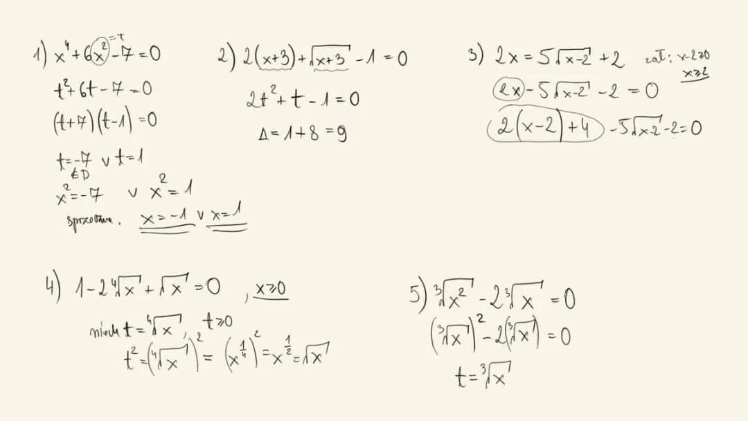
Zrozum, co to jest pierwiastek w matematyce i jak wpływa na obliczenia. Poznaj jego zastosowania oraz znaczenie w różnych dziedzinach nauki.

Zrozum zasady kolejności działań w matematyce klasa 4 i unikaj błędów w obliczeniach. Praktyczne przykłady i techniki dla uczniów!

Naucz się, jak obliczyć logarytm z pierwiastkiem za pomocą prostych metod i przykładów. Zrozum zasady i zastosowania logarytmów w praktyce.

Ile rozwiązań ma równanie? Sprawdź, jakie typy równań istnieją i jak ich współczynniki wpływają na liczbę rozwiązań. Zaskakujące fakty czekają!

Zrozum, co to jest suma algebraiczna i jak ją stosować w matematyce. Przykłady i kluczowe informacje, które pomogą w nauce.