
Odkryj najlepsze modele koni do jeżdżenia zabawka dla dzieci. Sprawdź ceny i wybierz idealny prezent, który zapewni radość i zabawę!
Jako specjalista od mody i stylizacji męskiej, podpowiadam na blogu jak dobierać stroje, dodatki i perfumy, by czuć się pewnie i atrakcyjnie. Doradzam w kreowaniu wizerunku.

Odkryj najlepsze modele koni do jeżdżenia zabawka dla dzieci. Sprawdź ceny i wybierz idealny prezent, który zapewni radość i zabawę!

Zastanawiasz się, która z poniższych liczb jest równa 2? Odkryj zaskakujące odpowiedzi i różne konteksty równości w matematyce.

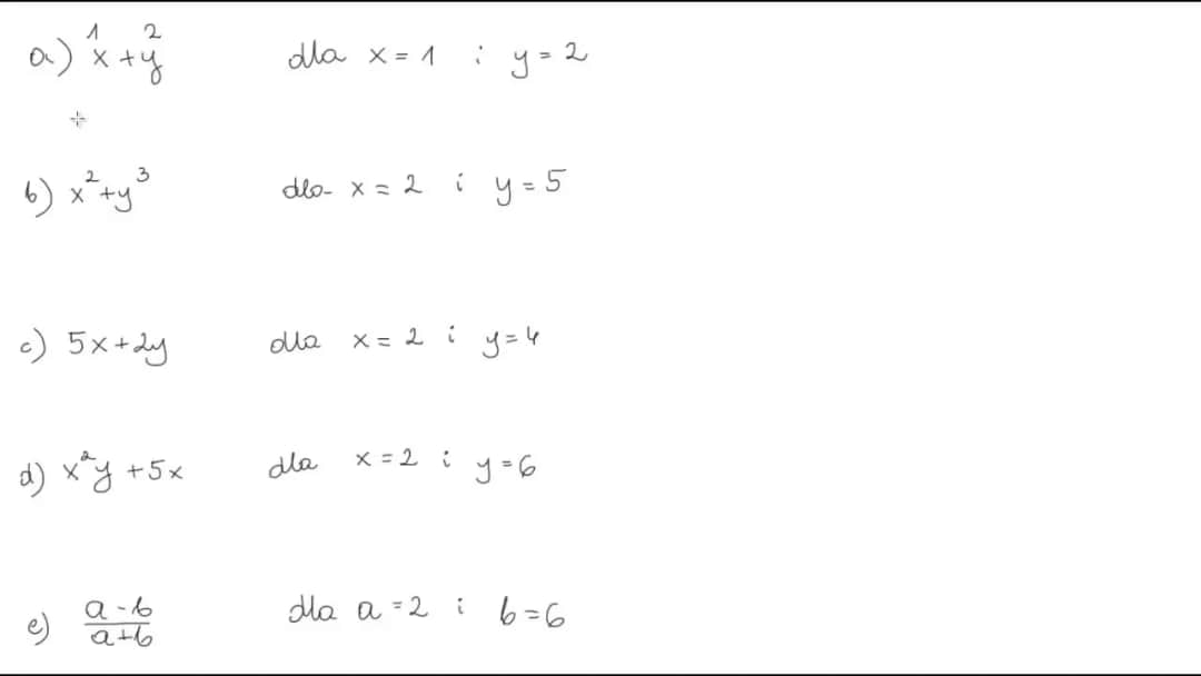
Naucz się, jak obliczyć wartość wyrażenia algebraicznego bez błędów i stresu. Odkryj proste metody i techniki, które ułatwią Ci obliczenia.

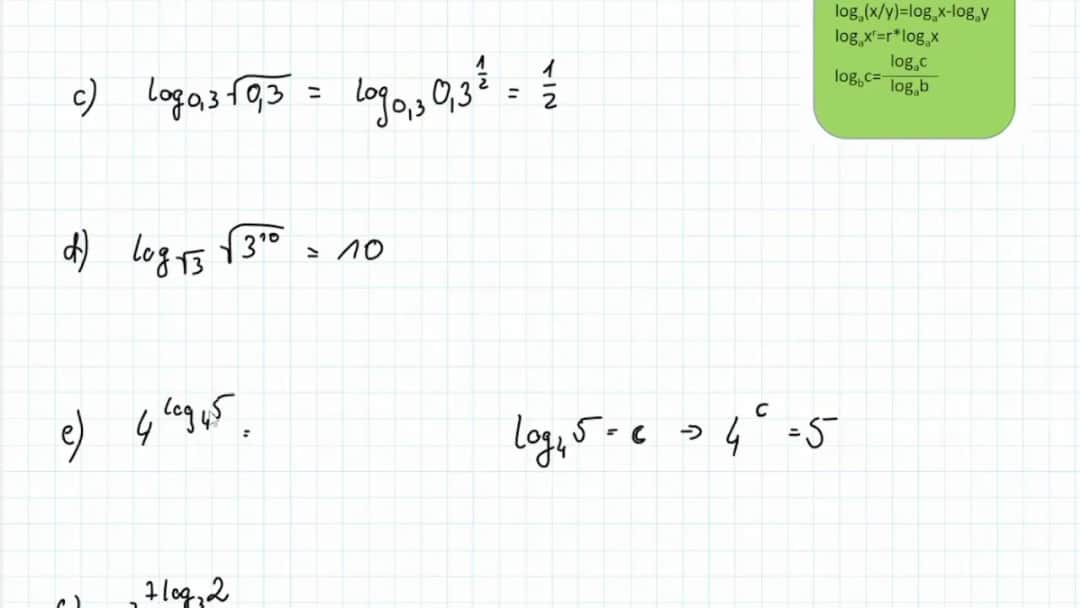
Poznaj proste zasady, jak się mnoży logarytmy, oraz unikaj najczęstszych błędów w obliczeniach. Zwiększ swoją pewność w matematyce już dziś!

Znajdź idealną pony zabawkę dla swojego dziecka! Oferujemy szeroki wybór kucyków My Little Pony i akcesoriów, które zachwycą każdego fana.

Fortepian dla dzieci zabawka to idealny wybór, który rozweseli maluchy i wspiera ich kreatywność. Sprawdź nasze propozycje i wybierz najlepszy model!

Zrozum, co jeśli logarytm nie ma podstawy. Dowiedz się o domyślnych wartościach i zastosowaniach logarytmów dziesiętnych i naturalnych w praktyce.

Czy kwarantanna równa się L4? Sprawdź, jakie masz prawa i obowiązki oraz jakie świadczenia przysługują podczas kwarantanny i zwolnienia lekarskiego.

Poznaj pary liczb, których suma jest równa iloczynowi oraz zaskakujące fakty matematyczne, które ujawniają ich unikalne właściwości.

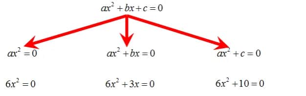
Rozwiąż równanie kwadratowe jak rozwiązać dzięki prostym metodom i przykładom. Poznaj różne techniki i zastosowania w praktyce!