Sadzarka do ziemniaków zabawka to idealna edukacyjna zabawka dla dzieci, rozwijająca kreatywność i umiejętności manualne. Zainwestuj w radość i naukę!
Najnowsze artykuły - Strona 43
Zrozumienie logiki w matematyce jest kluczowe dla analizy teorii, dowodów i zastosowań w różnych dziedzinach matematyki. Poznaj jej zasady i znaczenie.
Zrozumienie liczb naturalnych w matematyce jest kluczowe dla podstawowych operacji oraz ich zastosowań w życiu codziennym i różnych dziedzinach nauki.
Zrozum, co to jest pierwiastek w matematyce i jak wpływa na obliczenia. Poznaj jego zastosowania oraz znaczenie w różnych dziedzinach nauki.
Zrozum zasady kolejności działań w matematyce klasa 4 i unikaj błędów w obliczeniach. Praktyczne przykłady i techniki dla uczniów!
Naucz się, jak obliczyć logarytm z pierwiastkiem za pomocą prostych metod i przykładów. Zrozum zasady i zastosowania logarytmów w praktyce.
Zrozum, co to jest suma algebraiczna i jak ją stosować w matematyce. Przykłady i kluczowe informacje, które pomogą w nauce.
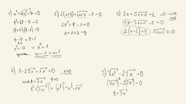
Ile rozwiązań ma równanie? Sprawdź, jakie typy równań istnieją i jak ich współczynniki wpływają na liczbę rozwiązań. Zaskakujące fakty czekają!
Zabawka ciężarówka z naczepą to idealna propozycja dla dzieci, które chcą się bawić i uczyć jednocześnie. Sprawdź nasze najlepsze modele!
Poznaj, co to jest wyrażenie algebraiczne i jak je wykorzystać w matematyce. Zrozum kluczowe pojęcia i zastosowania w praktyce.