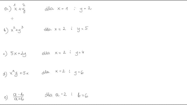
Naucz się, jak obliczyć wartość wyrażenia algebraicznego bez błędów i stresu. Odkryj proste metody i techniki, które ułatwią Ci obliczenia.
Najnowsze artykuły - Strona 45
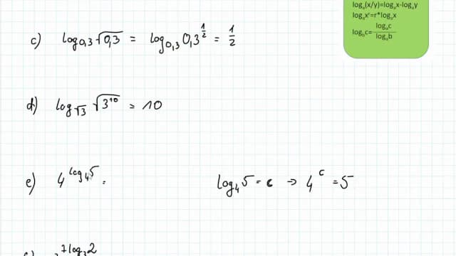
Poznaj proste zasady, jak się mnoży logarytmy, oraz unikaj najczęstszych błędów w obliczeniach. Zwiększ swoją pewność w matematyce już dziś!
Zrozum, co jeśli logarytm nie ma podstawy. Dowiedz się o domyślnych wartościach i zastosowaniach logarytmów dziesiętnych i naturalnych w praktyce.
Znajdź idealną pony zabawkę dla swojego dziecka! Oferujemy szeroki wybór kucyków My Little Pony i akcesoriów, które zachwycą każdego fana.
Fortepian dla dzieci zabawka to idealny wybór, który rozweseli maluchy i wspiera ich kreatywność. Sprawdź nasze propozycje i wybierz najlepszy model!
Czy kwarantanna równa się L4? Sprawdź, jakie masz prawa i obowiązki oraz jakie świadczenia przysługują podczas kwarantanny i zwolnienia lekarskiego.
Poznaj pary liczb, których suma jest równa iloczynowi oraz zaskakujące fakty matematyczne, które ujawniają ich unikalne właściwości.
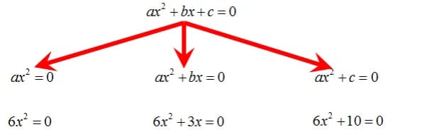
Rozwiąż równanie kwadratowe jak rozwiązać dzięki prostym metodom i przykładom. Poznaj różne techniki i zastosowania w praktyce!
Naucz się, jak przekształcać wyrażenia algebraiczne za pomocą prostych trików i technik, które ułatwią rozwiązywanie problemów matematycznych.
Sprawdź, czy podana liczba spełnia dane równanie, unikając typowych błędów. Zrozum zasady podstawiania i weryfikacji równań matematycznych.