
Najlepsze monster truck zabawka czekają na Ciebie! Wybierz zdalnie sterowane modele, które zapewnią niezapomniane emocje i zabawę dla całej rodziny.
Jako specjalista od mody i stylizacji męskiej, podpowiadam na blogu jak dobierać stroje, dodatki i perfumy, by czuć się pewnie i atrakcyjnie. Doradzam w kreowaniu wizerunku.

Najlepsze monster truck zabawka czekają na Ciebie! Wybierz zdalnie sterowane modele, które zapewnią niezapomniane emocje i zabawę dla całej rodziny.

Zastanawiasz się, jak uszyć matę edukacyjną? Poznaj proste kroki i materiały, które ułatwią Ci to zadanie!

Dowiedz się, kiedy równanie ma nieskończenie wiele rozwiązań i jakie są jego cechy. Zrozum kluczowe aspekty równań w matematyce i ich zastosowania.

Naucz się, jak się rozwiązuje logarytmy dzięki prostym metodom i przykładom krok po kroku. Zdobądź praktyczne umiejętności w obliczeniach logarytmicznych!

Rozwiązywanie równań jak to się robi? Poznaj proste metody i przykłady, które pomogą Ci skutecznie rozwiązywać równania w matematyce.

Naucz się, jak zrozumieć wyrażenia algebraiczne w klasie 7 dzięki prostym przykładom i ćwiczeniom, które ułatwią Ci opanowanie tego tematu.

Poznaj skuteczne metody, jak rozwiązać równanie różniczkowe. Oferujemy praktyczne przykłady oraz techniki, które ułatwią Ci zrozumienie tego tematu.

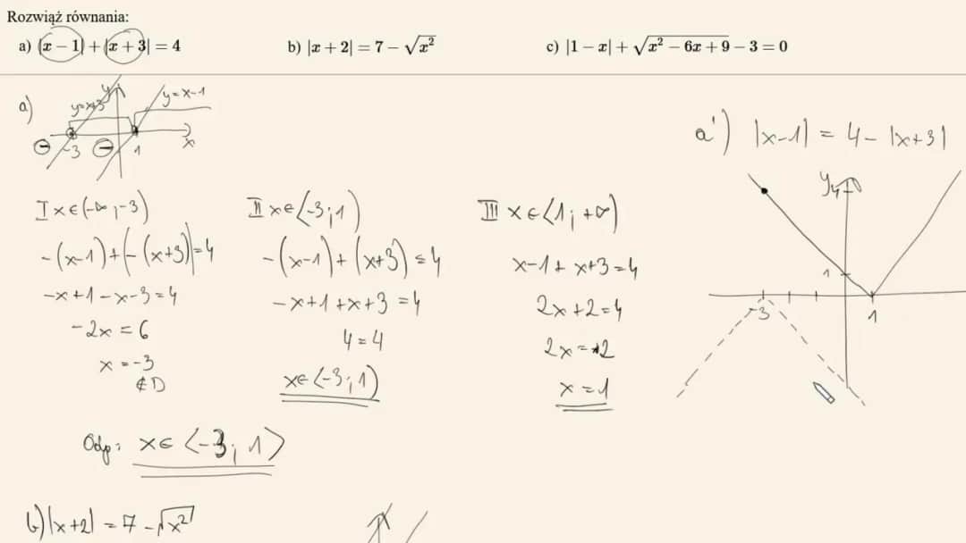
Rozwiąż równanie z wartością bezwzględną krok po kroku. Unikaj najczęstszych błędów i naucz się skutecznych metod rozwiązywania równań.

Zrozum, co to równanie sprzeczne, i poznaj jego cechy oraz przykłady. Dowiedz się, jak unikać błędów w matematyce!

Naucz się, jak rozwiązywać równania kwadratowe za pomocą prostych metod i przykładów. Zdobądź pewność siebie w matematyce i osiągnij sukces!