Dowiedz się, kiedy równanie ma nieskończenie wiele rozwiązań i jakie są jego cechy. Zrozum kluczowe aspekty równań w matematyce i ich zastosowania.
Najnowsze artykuły - Strona 47
Naucz się, jak się rozwiązuje logarytmy dzięki prostym metodom i przykładom krok po kroku. Zdobądź praktyczne umiejętności w obliczeniach logarytmicznych!
Rozwiązywanie równań jak to się robi? Poznaj proste metody i przykłady, które pomogą Ci skutecznie rozwiązywać równania w matematyce.
Naucz się, jak zrozumieć wyrażenia algebraiczne w klasie 7 dzięki prostym przykładom i ćwiczeniom, które ułatwią Ci opanowanie tego tematu.
Poznaj skuteczne metody, jak rozwiązać równanie różniczkowe. Oferujemy praktyczne przykłady oraz techniki, które ułatwią Ci zrozumienie tego tematu.
Zrozum, co to równanie sprzeczne, i poznaj jego cechy oraz przykłady. Dowiedz się, jak unikać błędów w matematyce!
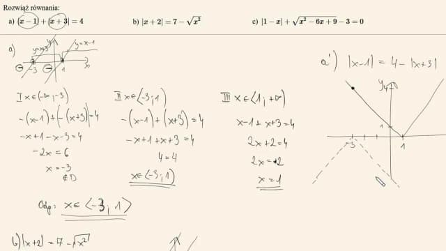
Rozwiąż równanie z wartością bezwzględną krok po kroku. Unikaj najczęstszych błędów i naucz się skutecznych metod rozwiązywania równań.
Naucz się, jak rozwiązywać równania kwadratowe za pomocą prostych metod i przykładów. Zdobądź pewność siebie w matematyce i osiągnij sukces!
Naucz się, jak skutecznie rozwiązywać równania wymierne. Odkryj sprawdzone metody i techniki, które ułatwią Ci obliczenia i analizę.
Poznaj, co to wyrażenia algebraiczne i jak wpływają na różne dziedziny życia. Zrozum ich znaczenie oraz praktyczne zastosowania w naukach i inżynierii.