Jak rozwiązać równanie różniczkowe? Sprawdzone metody i przykłady
Poznaj skuteczne metody, jak rozwiązać równanie różniczkowe. Oferujemy praktyczne przykłady oraz techniki, które ułatwią Ci zrozumienie tego tematu.
Jak rozwiązać równanie różniczkowe? Sprawdzone metody i przykłady
Poznaj skuteczne metody, jak rozwiązać równanie różniczkowe. Oferujemy praktyczne przykłady oraz techniki, które ułatwią Ci zrozumienie tego tematu.
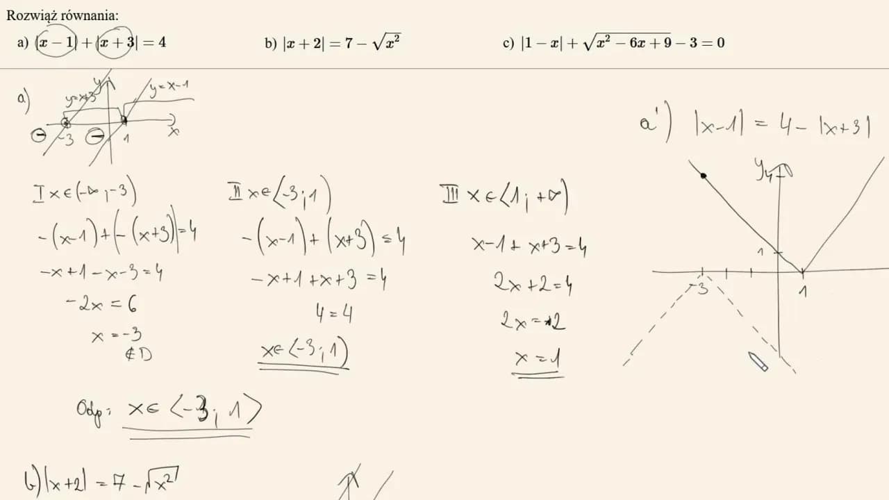
Jak rozwiązać równanie z wartością bezwzględną - uniknij najczęstszych błędów
Rozwiąż równanie z wartością bezwzględną krok po kroku. Unikaj najczęstszych błędów i naucz się skutecznych metod rozwiązywania równań.
Co to równanie sprzeczne? Zrozumienie i przykłady bez błędów
Zrozum, co to równanie sprzeczne, i poznaj jego cechy oraz przykłady. Dowiedz się, jak unikać błędów w matematyce!
Jak skutecznie rozwiązywać równania wymierne - sprawdzone metody
Naucz się, jak skutecznie rozwiązywać równania wymierne. Odkryj sprawdzone metody i techniki, które ułatwią Ci obliczenia i analizę.
Jak rozwiązywać równania kwadratowe - proste metody i przykłady
Naucz się, jak rozwiązywać równania kwadratowe za pomocą prostych metod i przykładów. Zdobądź pewność siebie w matematyce i osiągnij sukces!
Co to wyrażenia algebraiczne? Zrozumienie ich znaczenia i zastosowania
Poznaj, co to wyrażenia algebraiczne i jak wpływają na różne dziedziny życia. Zrozum ich znaczenie oraz praktyczne zastosowania w naukach i inżynierii.
Jakie wartości parametru m spełniają równanie? Odkryj odpowiedzi
Zrozum, dla jakich wartości parametru m równanie ma rozwiązania. Sprawdź, jak dyskryminant wpływa na charakterystykę równań kwadratowych.
Jak dodawać logarytmy: proste metody i najczęstsze błędy
Naucz się, jak dodawać logarytmy o tej samej podstawie, unikaj najczęstszych błędów i popraw swoje umiejętności matematyczne z naszymi prostymi metodami.
Co to jest równanie? Zrozumienie kluczowych pojęć matematycznych
Poznaj, co to jest równanie i jakie są jego kluczowe pojęcia w matematyce. Zrozumienie równań otworzy przed Tobą nowe możliwości w nauce!
Czy podane wyrażenia algebraiczne są równe 3x? Sprawdź, co to znaczy
Sprawdź, czy podane wyrażenia algebraiczne są równe 3x. Zrozumienie równości w algebrze pomoże Ci w rozwiązywaniu równań i analizie wyrażeń.